Courses
Courses for Kids
Free study material
Offline Centres
More
Store Icon
Store

Difference Between Lycopene and Beta Carotene

share icon
share icon
banner

Comparison of Lycopene and Beta Carotene: Structure, Function, and Sources

They are more orangish-coloured and do not contain oxygen in their structure. Examples: lycopene and beta carotene. Beta carotene is reddish-orange carotene found in carrots, pumpkins, and sweet potatoes. It is a forerunner or the starting link of the formation of Vitamin A (retinol), which is essential for vision and the maintenance of heart health and kidneys. It is found in abundance in green leaves and is available as a supplement/multivitamin medicine too.

Carotene is an orange-red hydrocarbon which the plants can synthesize, and they are photosynthetic pigments themselves. They do not contain any oxygen atoms. They absorb ultraviolet, blue, and violet but scatter orange, red and yellow, so we see the bright colours of fruits and vegetables. An interesting fact is that Flamingos in Tanzania are of pink colour, and it is due to astaxanthin (a carotenoid) as they consume saltwater shrimp which is their constant diet.

Our body converts beta carotene into Vitamin A, which repairs damaged hair and is essential for good vision and a healthy heart, lungs, and kidneys. Consumption of foods rich in antioxidants lower the risk of cancer. Red Bananas provide the maximum beta carotene of other banana varieties.

Beta Carotene

Beta carotene performs the function of collection and transportation of light for chlorophyll absorption and helps in the absorption of excess energy during photosynthesis. It also helps in making the secondary structure of chloroplast.

Beta Carotene Structure

Beta carotene comprises eight isoprene units, and its molecular formula is C40H56. Its molecule has rings at both ends, hence the prefix beta carotene.

seo images


Beta Carotene

What is Lycopene?

It's a bright red hydrocarbon and a carotene only but lacking in any vitamin A activity. It is an essential part of the daily diet as it acts as a forerunner for the formation of beta carotene. Lycopene is largely found in tomatoes and serves as an antioxidant to help the body fight free radicals. It combats high blood pressure, high cholesterol, cancer etc.

It is only unsafe to consume during pregnancy and breastfeeding. It's a natural blood thinner and prevents the clotting of blood. Fat-soluble gets absorbed easily in the body, and besides providing the bright red pigment, it’s known as non-pro vitamin A in the body, having a high antioxidant activity.

Lycopene Formula

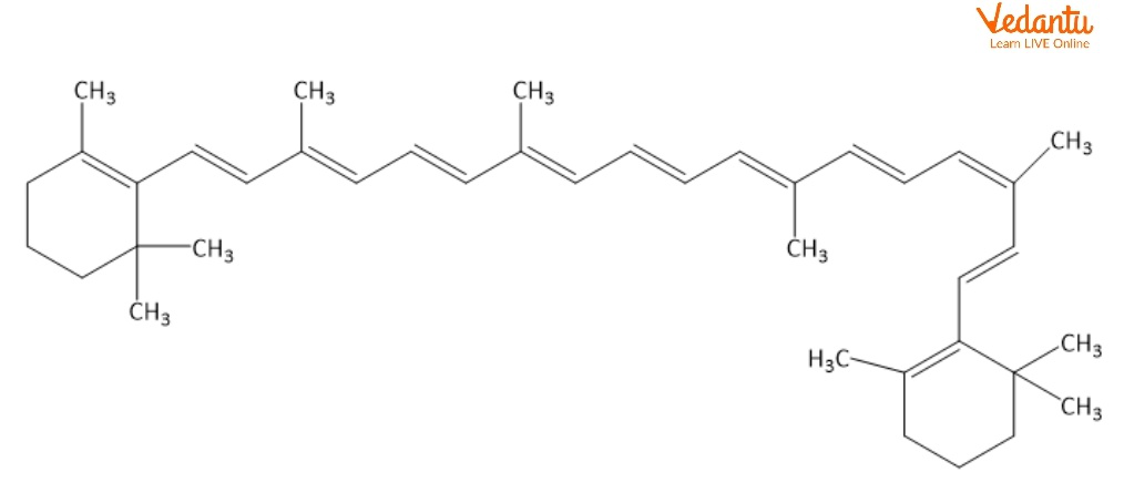
Lycopene has the formula C40H56. It has non-conjugated double bonds also in its structure and does not possess rings like beta carotene at the terminal. Lycopene is a well-known tetraterpene under the terpene classification.

Lycopene Structure

Chemically it is a tetraterpene constituting eight isoprene units. Its thirteen double bonds give it a bright red-coloured appearance. It has the molecular formula C40H56. It is a bright red hydrocarbon.

(Image will be Uploaded Soon)

Lycopene

Types of Carotenoids

Carotenoids are plant pigments which supply bright red-orange and yellow vegetables. The provitamin A carotenoid has powerful antioxidants in it. They are produced by plants, photosynthetic bacteria, and algae. Beta carotene is derived from the Latin name Carrot.

Carotenoids are classified into two categories:

  • Xanthophylls - They have more of a golden yellow hue and contain oxygen in their structure. Examples: Lutein and Zeaxanthin.

  • Carotenes – They are orange-coloured and contain oxygen in their structure. Examples: Lycopene and Beta carotene.

Interesting Fact

  • Both lycopene and beta carotene are two of 600 types of carotenoids known to us.

Important Questions

1. What are the health benefits of lycopene?

Ans. Lycopene is that natural compound which is found from pizza sauce to ketchup and in watermelon and grapefruit, it's a chemical known as carotenoid which imparts the natural pigment to plants, fruits and vegetables.Tomatoes are the richest source of this nutrient. Lycopene is known as an antioxidant of the carotenoid family which protects from free radicals and oxidative stress in our bodies. It has been studied on animals that Lycopene may protect against damage caused by pesticides, glutamate and certain types of poisonous fungi.

2. Are there health benefits arising from intake of Lycopene for men especially?

Ans. According to WHO, 10 to 15% of couples suffer from infertility worldwide and the cause is male infertility. Lycopene supplement intake has shown positive results in treatment of infertility amongst men. The most top at the list of cancer for men is prostate cancer, studies have shown that patients with benign prostatic hyperplasia if given a dosage of 15 mg per day of Lycopene for six months, a good response is shown then and urinary function is improved too.

Key Features of Difference Between Lycopene and Beta Carotene

  • The more vibrant the colour of fruit or vegetable, the more beta carotene it contains.

  • Beta carotene is an antioxidant that protects damaging cells called free radicals through oxidation.

  • Lycopene is fat-soluble and gets absorbed easily in the body.

Want to read offline? download full PDF here
Download full PDF
Is this page helpful?
like-imagedislike-image

FAQs on Difference Between Lycopene and Beta Carotene

1. What is the primary difference between lycopene and beta-carotene in terms of biological function?

The primary functional difference is that beta-carotene is a provitamin A, meaning the human body can convert it into Vitamin A (retinol), which is essential for vision, immune function, and cell growth. In contrast, lycopene has no provitamin A activity and cannot be converted into Vitamin A. Its main role in the body is as a potent antioxidant.

2. What are some common food sources of lycopene and beta-carotene?

Both are found in colourful fruits and vegetables, but their primary sources differ.

  • Lycopene is abundant in red and pink foods such as tomatoes (especially cooked), watermelon, pink grapefruit, and guava.
  • Beta-carotene is typically found in orange and yellow foods like carrots, sweet potatoes, pumpkins, and cantaloupe, as well as in dark leafy greens like spinach and kale.

3. How do the chemical structures of lycopene and beta-carotene differ, and why is it significant?

Both lycopene and beta-carotene are carotenoids with the same chemical formula (C40H56). The key structural difference lies in their ends. Lycopene is an acyclic (open-chain) hydrocarbon. Beta-carotene, however, has a beta-ionone ring at both ends of its long hydrocarbon chain. This structural difference is highly significant because the presence of at least one beta-ionone ring is what allows beta-carotene to be converted into Vitamin A in the body.

4. Are lycopene and beta-carotene both classified as antioxidants?

Yes, both lycopene and beta-carotene are powerful antioxidants. They help neutralise harmful free radicals in the body, which are unstable molecules that can cause oxidative stress and damage cells. While both have this property, lycopene is often cited as being one of the most potent antioxidants among the carotenoids due to its unique open-chain structure.

5. From a chemical standpoint, why is beta-carotene a red-orange pigment while lycopene is bright red?

The colour of these pigments is determined by their system of conjugated double bonds (alternating single and double bonds). Lycopene has 11 conjugated double bonds in its open-chain structure, which absorbs most visible light except for the long wavelengths, appearing bright red. Beta-carotene has a similar system, but its two end rings slightly alter the electron configuration, causing it to absorb a slightly different spectrum of light and appear more orange-red.

6. Can consuming high amounts of beta-carotene or lycopene affect skin colour?

Yes, excessive consumption of carotenoids can lead to a condition called carotenemia, where the skin takes on a yellowish-orange hue. This is most commonly associated with beta-carotene as it is stored in the outer layers of the skin. The condition is harmless and reversible once intake is reduced. While lycopene can also be stored in the skin, its effect on colour is less pronounced.

7. How do the health benefits of lycopene and beta-carotene compare beyond Vitamin A production?

While beta-carotene's main benefit is its conversion to Vitamin A, both compounds offer distinct health advantages as antioxidants. Lycopene is particularly noted for its role in supporting prostate health and protecting the skin from UV-induced damage. Beta-carotene also supports the immune system and skin health independently of its role as a provitamin. Their benefits are complementary rather than identical.


Competitive Exams after 12th Science
tp-imag
bottom-arrow
tp-imag
bottom-arrow
tp-imag
bottom-arrow
tp-imag
bottom-arrow
tp-imag
bottom-arrow
tp-imag
bottom-arrow