
Which of the following is the correct structure of tyrosine?
A.

B.

C.

D.

Answer
219k+ views
Hint: Amino acids include amino\[\;(NH2)\] and carboxyl \[\left( { - COOH} \right)\] functional groups. It also has a side-chain attached to it.
The amino acids, which can be made within the body are non-essential amino acids. The amino acids which cannot be prepared inside the body are essential amino acids.
Tyrosine: is a kind of non-essential amino acid.
Complete Step by Step Solution:
The general formula of Amino acids is as follows

Image: General formula of Amino acids
The IUPAC name of Tyrosine is 4-hydroxyphenylalanine. In this case, the side chain is the
\[( - CH2 - C6H5 - OH)\] group.
Here, the \[( - OH)\] or hydroxyl group is attached to the para position of the phenyl ring.
All the options have the general structure of Amino acids.
Only the side-chain structure is different. Hence, we just have to check whether the structures contain the correct formula for the side group or not.

Image: Option A
If we take option A, we see that it has the \[( - C3H6 - C6H5 - OH)\]group as the side chain. The hydroxyl group is attached to the para position of the benzene ring. Hence, this is not the correct structure of Tyrosine.

Image: Option B
If we take option B, we see that It has the \[( - C6H5 - OH)\] group as the side chain. The hydroxyl group is attached to the meta position of the benzene ring. Hence, this is not the correct structure of Tyrosine.

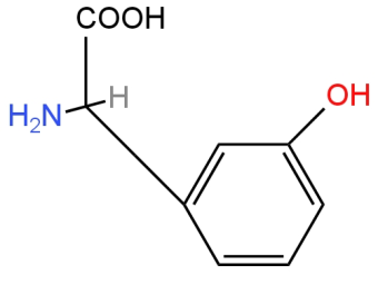
Image: Option C
If we take option C, we see that the \[( - CH2 - C6H4 - OH)\] group is the side chain. The hydroxyl group is attached to the benzene ring's para position. Hence, this is the correct structure of Tyrosine.

Image: Option D
If we take option D, we see that It has the \[( - C3H6 - C6H4 - OH)\] group as the side chain. The hydroxyl group is attached to the meta position of the benzene ring. Hence, this is not the correct structure of Tyrosine.
So, option C is correct.
Note: While attempting the question, one must have an idea about the formula of the side-group of Tyrosine. He/she must pay attention to the position of the hydroxyl group on the given options. The IUPAC name of Tyrosine is 4-hydroxyphenylalanine which makes it clear that the position of the hydroxyl group substituent is fourth on the phenyl ring.
The amino acids, which can be made within the body are non-essential amino acids. The amino acids which cannot be prepared inside the body are essential amino acids.
Tyrosine: is a kind of non-essential amino acid.
Complete Step by Step Solution:
The general formula of Amino acids is as follows

Image: General formula of Amino acids
The IUPAC name of Tyrosine is 4-hydroxyphenylalanine. In this case, the side chain is the
\[( - CH2 - C6H5 - OH)\] group.
Here, the \[( - OH)\] or hydroxyl group is attached to the para position of the phenyl ring.
All the options have the general structure of Amino acids.
Only the side-chain structure is different. Hence, we just have to check whether the structures contain the correct formula for the side group or not.

Image: Option A
If we take option A, we see that it has the \[( - C3H6 - C6H5 - OH)\]group as the side chain. The hydroxyl group is attached to the para position of the benzene ring. Hence, this is not the correct structure of Tyrosine.

Image: Option B
If we take option B, we see that It has the \[( - C6H5 - OH)\] group as the side chain. The hydroxyl group is attached to the meta position of the benzene ring. Hence, this is not the correct structure of Tyrosine.

Image: Option C
If we take option C, we see that the \[( - CH2 - C6H4 - OH)\] group is the side chain. The hydroxyl group is attached to the benzene ring's para position. Hence, this is the correct structure of Tyrosine.

Image: Option D
If we take option D, we see that It has the \[( - C3H6 - C6H4 - OH)\] group as the side chain. The hydroxyl group is attached to the meta position of the benzene ring. Hence, this is not the correct structure of Tyrosine.
So, option C is correct.
Note: While attempting the question, one must have an idea about the formula of the side-group of Tyrosine. He/she must pay attention to the position of the hydroxyl group on the given options. The IUPAC name of Tyrosine is 4-hydroxyphenylalanine which makes it clear that the position of the hydroxyl group substituent is fourth on the phenyl ring.
Recently Updated Pages
Is PPh3 a strong ligand class 12 chemistry JEE_Main

Full name of DDT is A 111trichloro22bispchlorophenyl class 12 chemistry JEE_Main

Sodium acetate on heating with soda lime produce A class 12 chemistry JEE_Main

Find the isoelectric point pI of Lysine A 556 B 974 class 12 chemistry JEE_Main

The order of basicity among the following compounds class 12 chemistry JEE_Main

The number of isomers in C4H10O are a7 b8 c6 d5 class 12 chemistry JEE_Main

Trending doubts
JEE Main 2026: Application Form Open, Exam Dates, Syllabus, Eligibility & Question Papers

Derivation of Equation of Trajectory Explained for Students

Hybridisation in Chemistry – Concept, Types & Applications

Understanding the Angle of Deviation in a Prism

Understanding Collisions: Types and Examples for Students

Understanding Atomic Structure for Beginners

Other Pages
NCERT Solutions For Class 12 Chemistry Chapter 1 Solutions - 2025-26

NCERT Solutions for Class 12 Chemistry Chapter Chapter 7 Alcohol Phenol and Ether

NCERT Solutions ForClass 12 Chemistry Chapter Chapter 8 Aldehydes Ketones And Carboxylic Acids

JEE Advanced Marks vs Ranks 2025: Understanding Category-wise Qualifying Marks and Previous Year Cut-offs

Haloalkanes and Haloarenes Class 12 Chemistry Chapter 6 CBSE Notes - 2025-26

Solutions Class 12 Chemistry Chapter 1 CBSE Notes - 2025-26

