
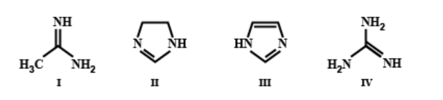
The order of basicity among the following compounds is:

A ) I > IV > III > II
B ) II >I IV > III
C ) IV > I > II > III
D ) IV > II > III > i
Answer
218.4k+ views
Hint: Consider various factors such as number of amino groups and number of double bonds. Greater is the number of amino groups, greater is the basicity.
Complete step by step answer:
In compound IV, three amino groups are present, whereas in all the remaining compounds, only two amino groups are present. Greater is the number of amino groups, greater is the basicity. Also, in compound IV, when a proton is accepted, the stabilisation of the positive charge in the conjugate acid involves resonance with two different amino groups. However, in case of compound I, this resonance is with only one amino group. Greater is the number of amino groups, greater is the number of resonance structures and greater is the delocalisation. Hence, compound IV is more basic than compound I.
In compound II, only one double bond is present whereas in compound III, two double bonds are present. Hence, the extent of delocalisation is greater in compound III than in compound II. Greater is the delocalisation, lesser is the availability of lone pairs of electrons for donation to suitable acid. Hence, II is more basic than compound III.
Hence, the option C ) is the correct answer.
Note:
If the extent of delocalisation of electrons is greater, then lower is the basicity.
Complete step by step answer:
In compound IV, three amino groups are present, whereas in all the remaining compounds, only two amino groups are present. Greater is the number of amino groups, greater is the basicity. Also, in compound IV, when a proton is accepted, the stabilisation of the positive charge in the conjugate acid involves resonance with two different amino groups. However, in case of compound I, this resonance is with only one amino group. Greater is the number of amino groups, greater is the number of resonance structures and greater is the delocalisation. Hence, compound IV is more basic than compound I.
In compound II, only one double bond is present whereas in compound III, two double bonds are present. Hence, the extent of delocalisation is greater in compound III than in compound II. Greater is the delocalisation, lesser is the availability of lone pairs of electrons for donation to suitable acid. Hence, II is more basic than compound III.
Hence, the option C ) is the correct answer.
Note:
If the extent of delocalisation of electrons is greater, then lower is the basicity.
Recently Updated Pages
Class 12 Chemistry Mock Test Series for JEE Main – Free Online Practice

Difference Between Alcohol and Phenol: Structure, Tests & Uses

Classification of Drugs in Chemistry: Types, Examples & Exam Guide

Chemical Properties of Hydrogen - Important Concepts for JEE Exam Preparation

JEE General Topics in Chemistry Important Concepts and Tips

JEE Atomic Structure and Chemical Bonding important Concepts and Tips

Trending doubts
JEE Main 2026: Application Form Open, Exam Dates, Syllabus, Eligibility & Question Papers

Derivation of Equation of Trajectory Explained for Students

Hybridisation in Chemistry – Concept, Types & Applications

Understanding the Angle of Deviation in a Prism

Understanding Collisions: Types and Examples for Students

Understanding Atomic Structure for Beginners

Other Pages
NCERT Solutions For Class 12 Chemistry Chapter 1 Solutions - 2025-26

NCERT Solutions for Class 12 Chemistry Chapter Chapter 7 Alcohol Phenol and Ether

NCERT Solutions ForClass 12 Chemistry Chapter Chapter 8 Aldehydes Ketones And Carboxylic Acids

JEE Advanced Marks vs Ranks 2025: Understanding Category-wise Qualifying Marks and Previous Year Cut-offs

Haloalkanes and Haloarenes Class 12 Chemistry Chapter 6 CBSE Notes - 2025-26

Solutions Class 12 Chemistry Chapter 1 CBSE Notes - 2025-26

