
The compound A with following sequence of reaction gave benzoic acid

A. Nitrobenzene
B. Aniline
C. Benzaldehyde
D. Amides
Answer
219k+ views
Hint: When aniline undergoes a reaction with nitrous acid at the temperature of 273K -278K results in the formation of benzenediazonium chloride. The production of nitrous acid is due to the reaction of sodium nitrite with hydrochloric acid.
Complete Step by Step Solution:
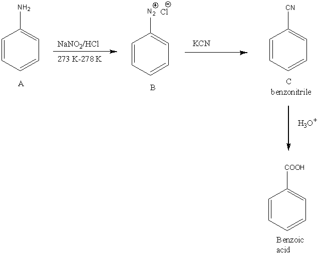
In the given question, the reactant A undergoes reaction with \[{\rm{NaN}}{{\rm{O}}_{\rm{2}}}/{\rm{HCl}}\] to form B. The then product formed B reacts with KCN to form C. The acidic hydrolysis of C results in the formation of benzoic acid.
Let’s understand the diazotization reaction in detail. In the diazotization reaction, the primary aromatic amine converts into diazonium salt. Here, A undergoes undergoes reaction with \[{\rm{NaN}}{{\rm{O}}_{\rm{2}}}/{\rm{HCl}}\]. So, the reaction is,

Image: Reaction of aniline with \[{\rm{NaN}}{{\rm{O}}_{\rm{2}}}/{\rm{HCl}}\]
In the second reaction, B undergoes a reaction with KCN. The reaction of diazonium chloride with KCN results in the formation of cyanide. So, the reaction is,

Image: Reaction of diazonium chloride with KCN
So, product C is benzonitrile.
Let’s understand the third reaction. The acidic hydrolysis of benzonitrile gives benzoic acid.

Image: Acidic hydrolysis of benzonitrile
So, the complete reaction is,

Image: The reaction of aniline to form benzoic acid
Hence, the reactant A is aniline, i.e, \[{{\rm{C}}_{\rm{6}}}{{\rm{H}}_{\rm{5}}}{\rm{N}}{{\rm{H}}_{\rm{2}}}\] .
Note: The Sandmeyer reaction is the one in which chloride, bromide and cyanide ion can be introduced in the benzene ring in the presence of copper ion. And, we know, the acidic hydrolysis of cyanide gives the carboxylic acid.
Complete Step by Step Solution:
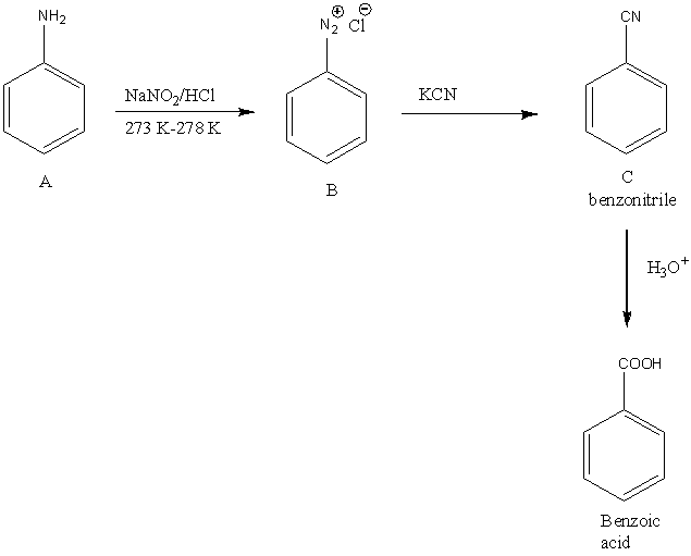
In the given question, the reactant A undergoes reaction with \[{\rm{NaN}}{{\rm{O}}_{\rm{2}}}/{\rm{HCl}}\] to form B. The then product formed B reacts with KCN to form C. The acidic hydrolysis of C results in the formation of benzoic acid.
Let’s understand the diazotization reaction in detail. In the diazotization reaction, the primary aromatic amine converts into diazonium salt. Here, A undergoes undergoes reaction with \[{\rm{NaN}}{{\rm{O}}_{\rm{2}}}/{\rm{HCl}}\]. So, the reaction is,

Image: Reaction of aniline with \[{\rm{NaN}}{{\rm{O}}_{\rm{2}}}/{\rm{HCl}}\]
In the second reaction, B undergoes a reaction with KCN. The reaction of diazonium chloride with KCN results in the formation of cyanide. So, the reaction is,

Image: Reaction of diazonium chloride with KCN
So, product C is benzonitrile.
Let’s understand the third reaction. The acidic hydrolysis of benzonitrile gives benzoic acid.

Image: Acidic hydrolysis of benzonitrile
So, the complete reaction is,

Image: The reaction of aniline to form benzoic acid
Hence, the reactant A is aniline, i.e, \[{{\rm{C}}_{\rm{6}}}{{\rm{H}}_{\rm{5}}}{\rm{N}}{{\rm{H}}_{\rm{2}}}\] .
Note: The Sandmeyer reaction is the one in which chloride, bromide and cyanide ion can be introduced in the benzene ring in the presence of copper ion. And, we know, the acidic hydrolysis of cyanide gives the carboxylic acid.
Recently Updated Pages
Is PPh3 a strong ligand class 12 chemistry JEE_Main

Full name of DDT is A 111trichloro22bispchlorophenyl class 12 chemistry JEE_Main

Sodium acetate on heating with soda lime produce A class 12 chemistry JEE_Main

Find the isoelectric point pI of Lysine A 556 B 974 class 12 chemistry JEE_Main

The order of basicity among the following compounds class 12 chemistry JEE_Main

The number of isomers in C4H10O are a7 b8 c6 d5 class 12 chemistry JEE_Main

Trending doubts
JEE Main 2026: Application Form Open, Exam Dates, Syllabus, Eligibility & Question Papers

Derivation of Equation of Trajectory Explained for Students

Hybridisation in Chemistry – Concept, Types & Applications

Understanding the Angle of Deviation in a Prism

Understanding Collisions: Types and Examples for Students

Understanding Atomic Structure for Beginners

Other Pages
NCERT Solutions For Class 12 Chemistry Chapter 1 Solutions - 2025-26

NCERT Solutions for Class 12 Chemistry Chapter Chapter 7 Alcohol Phenol and Ether

NCERT Solutions ForClass 12 Chemistry Chapter Chapter 8 Aldehydes Ketones And Carboxylic Acids

JEE Advanced Marks vs Ranks 2025: Understanding Category-wise Qualifying Marks and Previous Year Cut-offs

Haloalkanes and Haloarenes Class 12 Chemistry Chapter 6 CBSE Notes - 2025-26

Solutions Class 12 Chemistry Chapter 1 CBSE Notes - 2025-26

