
Gabriel phthalimide synthesis is used in the preparation of primary amine from phthalimide. Which of the following reagent is not used during the process?
A. $HCl$
B. $NaOH$
C. Alkyl halides
D. $KOH$
Answer
575.4k+ views
Hint: In this reaction phthalimide is treated with ethanolic potassium hydroxide to form its potassium salt which is then heated with alkyl halide, followed by alkaline hydrolysis producing the final product.
Complete step by step answer:
-We all know that this reaction is used for the formation of primary amines from primary alkyl halides.
-It is an important method for production of pure primary amines because secondary and tertiary amines are not formed in this process.
-To see the reagents involved in this reaction first we need to see the entire reaction step by step.
-To begin with it is a 3 step reaction:
Step 1) In this step an acid base reaction is initiated by reaction of phthalimide with potassium hydroxide ($KOH$). Imide is deprotonated by the hydroxide ion. This forms a potassium salt of phthalimide (imide ion) which is nucleophilic in nature.
Step 2) Then the obtained imide ion is now treated with alkyl halide ($R - X$).The electrophilic carbon of the alkyl halide is attacked by the nucleophilic imide. Halogen atom of the alkyl halide is removed and replaced by the nitrogen atom which bonds with the carbon itself. N-Alkyl Phthalimide is formed as the product.
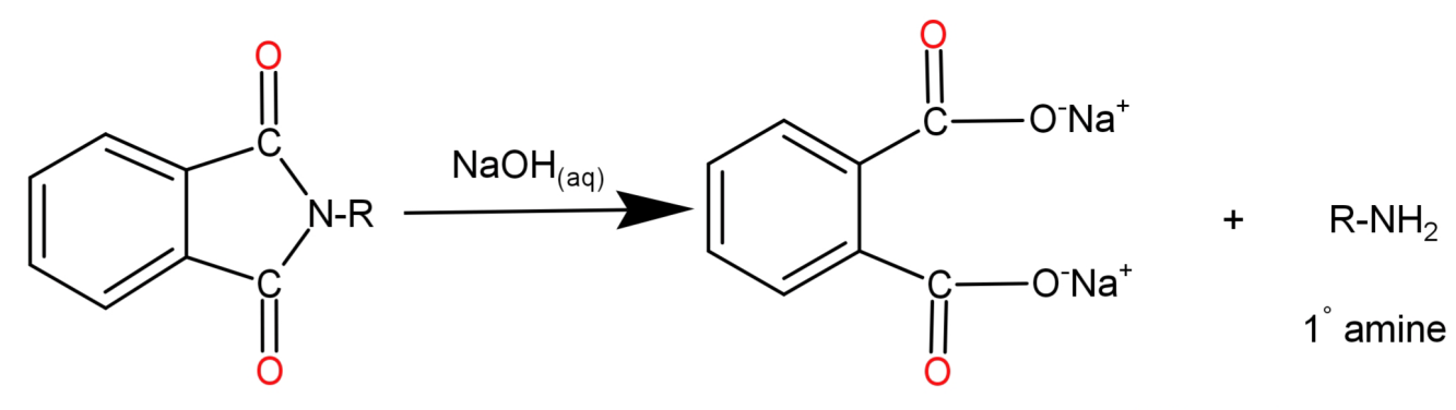
Step 3) The final step is of alkaline hydrolysis: In this step N-alkyl phthalimide undergoes alkaline hydrolysis by reaction with aqueous Sodium Hydroxide ($NaO{H_{(aq)}}$ ). The hydroxide ion from Sodium hydroxide reacts with the carbon atom from the alkyl group causing the cleavage of N-Alkyl Phthalimide and the cation attaches itself to the oxygen atom. When the oxygen atom replaces the nitrogen in phthalimide the ejected hydrogen ions get attached to the nitrogen which was already attached to the alkyl (R) group.
-We have now seen that:
$NaOH$ is used in step 3 during alkaline hydrolysis;
Alkyl halide ($R - X$) is used in step 2 where it reacts with the imide ion to form N-alkyl phthalimide;
$KOH$ is used in step 1 where it reacts with phthalimide to form a potassium salt of phthalimide;
But $HCl$ has not been used anywhere.
So, the correct option is: A) $HCl$ .
Note:
From this reaction only primary aliphatic amines can be formed and not aromatic primary amines. This is so because aryl halides do not undergo the nucleophilic substitution reaction with the anion formed by phthalimide but alkyl halide does.
Complete step by step answer:
-We all know that this reaction is used for the formation of primary amines from primary alkyl halides.
-It is an important method for production of pure primary amines because secondary and tertiary amines are not formed in this process.
-To see the reagents involved in this reaction first we need to see the entire reaction step by step.
-To begin with it is a 3 step reaction:
Step 1) In this step an acid base reaction is initiated by reaction of phthalimide with potassium hydroxide ($KOH$). Imide is deprotonated by the hydroxide ion. This forms a potassium salt of phthalimide (imide ion) which is nucleophilic in nature.
Step 2) Then the obtained imide ion is now treated with alkyl halide ($R - X$).The electrophilic carbon of the alkyl halide is attacked by the nucleophilic imide. Halogen atom of the alkyl halide is removed and replaced by the nitrogen atom which bonds with the carbon itself. N-Alkyl Phthalimide is formed as the product.
Step 3) The final step is of alkaline hydrolysis: In this step N-alkyl phthalimide undergoes alkaline hydrolysis by reaction with aqueous Sodium Hydroxide ($NaO{H_{(aq)}}$ ). The hydroxide ion from Sodium hydroxide reacts with the carbon atom from the alkyl group causing the cleavage of N-Alkyl Phthalimide and the cation attaches itself to the oxygen atom. When the oxygen atom replaces the nitrogen in phthalimide the ejected hydrogen ions get attached to the nitrogen which was already attached to the alkyl (R) group.
-We have now seen that:
$NaOH$ is used in step 3 during alkaline hydrolysis;
Alkyl halide ($R - X$) is used in step 2 where it reacts with the imide ion to form N-alkyl phthalimide;
$KOH$ is used in step 1 where it reacts with phthalimide to form a potassium salt of phthalimide;
But $HCl$ has not been used anywhere.
So, the correct option is: A) $HCl$ .
Note:
From this reaction only primary aliphatic amines can be formed and not aromatic primary amines. This is so because aryl halides do not undergo the nucleophilic substitution reaction with the anion formed by phthalimide but alkyl halide does.
Recently Updated Pages
Master Class 12 Business Studies: Engaging Questions & Answers for Success

Master Class 12 Economics: Engaging Questions & Answers for Success

Master Class 12 English: Engaging Questions & Answers for Success

Master Class 12 Maths: Engaging Questions & Answers for Success

Master Class 12 Social Science: Engaging Questions & Answers for Success

Master Class 12 Chemistry: Engaging Questions & Answers for Success

Trending doubts
What are the major means of transport Explain each class 12 social science CBSE

Prove that a parallelogram circumscribing a circle-class-12-maths-CBSE

Dihybrid cross is made between RRYY yellow round seed class 12 biology CBSE

The correct structure of ethylenediaminetetraacetic class 12 chemistry CBSE

The first microscope was invented by A Leeuwenhoek class 12 biology CBSE

Draw a ray diagram of compound microscope when the class 12 physics CBSE

