
The IUPAC name of the compound glycerine is:
A) 1,2,3-trihydroxypropane
B) 3-hydroxypentane-1,5-diol
C) 1,2,3-hydroxypropane
D) propane-1,2,3-triol
Answer
224.7k+ views
Hint: We know that IUPAC naming is the standard naming of organic compounds. There is a set of rules in naming of organic compounds. Identify the longest carbon chain and functional groups after drawing the structure.
Complete step-by-step solution:
Functional groups are made up of one or more atoms with distinctive chemical properties, independent of what is connected to them. The atoms of functional groups are bound by covalent bonds with each other and with the rest of the molecule.
The name of an organic compound has three parts, prefix, parent chain and suffix. The format of naming is ‘prefix +parent chain +suffix’. The longest chain of carbon atoms is the parent chain of the compound. Suffix denotes the name and position of functional groups and prefix denote the substituent and its position in the compound.
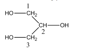
The structure of glycerine is,

Now, we have to identify the parent chain in the glycerine. There are three carbon atoms in the parent chain and all bonds are single bonds. So, name of the parent chain is ‘propane’. The functional group –OH is present in all the three carbon atoms. So, suffix is ‘1,2,3-triol’ So, the IUPAC naming of glycerine is propan-1,2,3-triol.
Hence, correct option is D.
Note: The group with the formula OH is a hydroxyl group. This is made up of oxygen bound to hydrogen. Throughout organic chemistry, hydroxyl groups are found throughout alcohols and carboxylic acids. All the negatively charged ${\rm{ - O}}{{\rm{H}}^ - }$ anion, called hydroxide, and the stable radical ${\rm{ - OH}}$, known as hydroxyl radical, compose of an unbounded group of hydroxyl.
Complete step-by-step solution:
Functional groups are made up of one or more atoms with distinctive chemical properties, independent of what is connected to them. The atoms of functional groups are bound by covalent bonds with each other and with the rest of the molecule.
The name of an organic compound has three parts, prefix, parent chain and suffix. The format of naming is ‘prefix +parent chain +suffix’. The longest chain of carbon atoms is the parent chain of the compound. Suffix denotes the name and position of functional groups and prefix denote the substituent and its position in the compound.
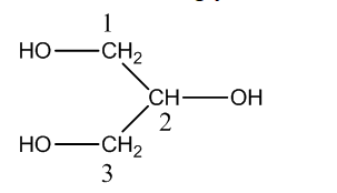
The structure of glycerine is,

Now, we have to identify the parent chain in the glycerine. There are three carbon atoms in the parent chain and all bonds are single bonds. So, name of the parent chain is ‘propane’. The functional group –OH is present in all the three carbon atoms. So, suffix is ‘1,2,3-triol’ So, the IUPAC naming of glycerine is propan-1,2,3-triol.
Hence, correct option is D.
Note: The group with the formula OH is a hydroxyl group. This is made up of oxygen bound to hydrogen. Throughout organic chemistry, hydroxyl groups are found throughout alcohols and carboxylic acids. All the negatively charged ${\rm{ - O}}{{\rm{H}}^ - }$ anion, called hydroxide, and the stable radical ${\rm{ - OH}}$, known as hydroxyl radical, compose of an unbounded group of hydroxyl.
Recently Updated Pages
JEE Main 2026 Session 1 Correction Window Started: Check Dates, Edit Link & Fees

JEE Isolation, Preparation and Properties of Non-metals Important Concepts and Tips for Exam Preparation

Isoelectronic Definition in Chemistry: Meaning, Examples & Trends

Ionisation Energy and Ionisation Potential Explained

Iodoform Reactions - Important Concepts and Tips for JEE

Introduction to Dimensions: Understanding the Basics

Trending doubts
JEE Main 2026: City Intimation Slip and Exam Dates Released, Application Form Closed, Syllabus & Eligibility

JEE Main 2026 Application Login: Direct Link, Registration, Form Fill, and Steps

Understanding the Angle of Deviation in a Prism

How to Convert a Galvanometer into an Ammeter or Voltmeter

Hybridisation in Chemistry – Concept, Types & Applications

Ideal and Non-Ideal Solutions Explained for Class 12 Chemistry

Other Pages
JEE Advanced Marks vs Ranks 2025: Understanding Category-wise Qualifying Marks and Previous Year Cut-offs

Thermodynamics Class 11 Chemistry Chapter 5 CBSE Notes - 2025-26

Organic Chemistry Some Basic Principles And Techniques Class 11 Chemistry Chapter 8 CBSE Notes - 2025-26

JEE Advanced 2026 - Exam Date (Released), Syllabus, Registration, Eligibility, Preparation, and More

JEE Advanced 2026 - Exam Date (Released), Syllabus, Registration, Eligibility, Preparation, and More

Hydrocarbons Class 11 Chemistry Chapter 9 CBSE Notes - 2025-26

