
Sodium acetate reacts with acetyl chloride to form:
A. Acetone
B. Acetic anhydride
C. Sodium formate
D. Acetic acid
Answer
225.3k+ views
Hint: Acetyl chloride belongs to the class of acyl chloride that we get from acetic acid. Acetyl chloride also belongs to the group of acid halides. It has no colour. It is a liquid of volatile nature. And it is a corrosive substance. Acetyl chloride also belongs to the group of acid halides. It has no colour. It is a liquid of volatile nature. And it is a corrosive substance.
Complete step by step answer:
Let's first draw the structure of acetyl chloride.

Image: Acetyl chloride
Sodium acetate is an organic compound that is a derivative of carboxylic acid. In sodium acetate, the H atom of OH group of a carboxylic group is replaced by a sodium atom. The formula of sodium acetate is,\[{\rm{C}}{{\rm{H}}_{\rm{3}}}{\rm{COONa}}\] .
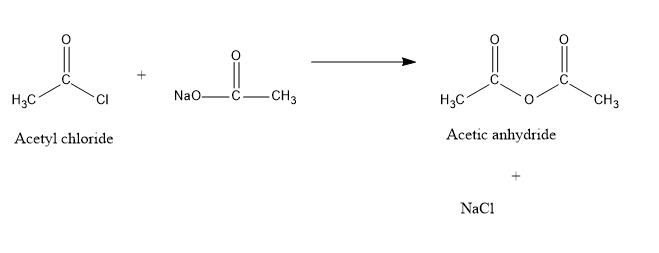
Now, we have to understand the reaction of sodium acetate and acetyl chloride. When sodium acetate undergoes a reaction with acetyl chloride, the formation of acetic anhydride takes place. In this reaction, a molecule of Sodium chloride (NaCl) is extracted. The chemical reaction is as follows:

Image: Formation of acetic anhydride due to the reaction of sodium acetate and acetyl chloride
Hence, the product formed due to the reaction of acetyl chloride and sodium acetate is acetic anhydride.
Note: Acetic anhydride is a liquid of no colour possessing a sharp odour. It is useful in the manufacture of drugs, dyes, perfumes etc. It is extremely corrosive in nature. It becomes dangerous when it comes in contact. So, it is banned by the authorities.
Complete step by step answer:
Let's first draw the structure of acetyl chloride.

Image: Acetyl chloride
Sodium acetate is an organic compound that is a derivative of carboxylic acid. In sodium acetate, the H atom of OH group of a carboxylic group is replaced by a sodium atom. The formula of sodium acetate is,\[{\rm{C}}{{\rm{H}}_{\rm{3}}}{\rm{COONa}}\] .
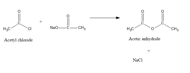
Now, we have to understand the reaction of sodium acetate and acetyl chloride. When sodium acetate undergoes a reaction with acetyl chloride, the formation of acetic anhydride takes place. In this reaction, a molecule of Sodium chloride (NaCl) is extracted. The chemical reaction is as follows:

Image: Formation of acetic anhydride due to the reaction of sodium acetate and acetyl chloride
Hence, the product formed due to the reaction of acetyl chloride and sodium acetate is acetic anhydride.
Note: Acetic anhydride is a liquid of no colour possessing a sharp odour. It is useful in the manufacture of drugs, dyes, perfumes etc. It is extremely corrosive in nature. It becomes dangerous when it comes in contact. So, it is banned by the authorities.
Recently Updated Pages
JEE Main 2025-26 Mock Test: Organic Compounds Containing Nitrogen

JEE Main 2025-26 Organic Compounds Containing Nitrogen Mock Test

JEE Main Chemical Kinetics Mock Test 2025-26: Free Practice Online

JEE Main 2025-26 Organic Compounds Containing Oxygen Mock Test

JEE Main 2025-26 Organic Compounds Containing Halogens Mock Test

Sodium acetate on heating with soda lime produce A class 12 chemistry JEE_Main

Trending doubts
JEE Main 2026: City Intimation Slip and Exam Dates Released, Application Form Closed, Syllabus & Eligibility

JEE Main 2026 Application Login: Direct Link, Registration, Form Fill, and Steps

Understanding the Angle of Deviation in a Prism

Hybridisation in Chemistry – Concept, Types & Applications

How to Convert a Galvanometer into an Ammeter or Voltmeter

Ideal and Non-Ideal Solutions Explained for Class 12 Chemistry

Other Pages
NCERT Solutions For Class 12 Chemistry Chapter 1 Solutions - 2025-26

JEE Advanced Marks vs Ranks 2025: Understanding Category-wise Qualifying Marks and Previous Year Cut-offs

Solutions Class 12 Chemistry Chapter 1 CBSE Notes - 2025-26

NCERT Solutions ForClass 12 Chemistry Chapter Chapter 4 The D and F Block Elements

Biomolecules Class 12 Chemistry Chapter 10 CBSE Notes - 2025-26

NCERT Solutions For Class 12 Chemistry Chapter 10 Biomolecules - 2025-26

