
Propionamide on Hofmann degradation gives-
A. Methyl amine
B. Ethyl amine
C. Propyl amine
D. Ethyl cyanide
Answer
220.5k+ views
Hint: Propionamide is an amide compound with general formula \[RCON{H_2}\] . The compound formed has one less carbon atom than the amide.
Complete Step by Step Solution:
Hoffmann degradation reaction is a type of reaction where primary amide is converted to a primary amine. The reaction takes place in presence of a strong base which attacks the amide. The reaction takes place by heating the primary amide using a halogen mixture of chlorine or bromine, a strong base and water.
In this reaction, halogen mainly reacts with sodium hydroxide which forms sodium hypobromite which changes the primary amide into an isocyanate intermediate. Water attacks the isocyanate intermediate causing the proton transfer and resulting in the formation of ammonium cation. Due to the thermal condition, the carbon dioxide explodes and after quenching ammonium cation, a primary amine product is formed.
When propionamide is heated with bromine in presence of potassium hydroxide or when propionamide undergoes Hofmann degradation, the product formed is ethyl amine.
The Hoffman degradation reaction of propionamide is shown below.

Image: Hofmann degradation reaction of propionamide
Therefore, the correct option is B.
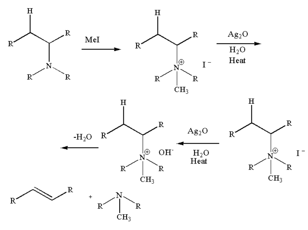
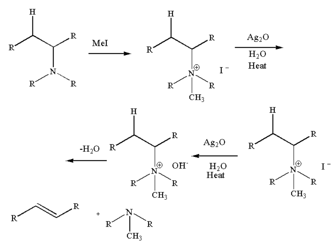
Note: Hofmann degradation reaction is also termed as Hoffmann bromamide reaction. There is another term known as Hofmann elimination reaction in which tertiary amines and alkenes are formed as a product by reacting quaternary ammonium with methyl iodide and heating the compound formed with silver oxide and water.
The general reaction is shown below.

Image: Hofmann elimination reaction
Complete Step by Step Solution:
Hoffmann degradation reaction is a type of reaction where primary amide is converted to a primary amine. The reaction takes place in presence of a strong base which attacks the amide. The reaction takes place by heating the primary amide using a halogen mixture of chlorine or bromine, a strong base and water.
In this reaction, halogen mainly reacts with sodium hydroxide which forms sodium hypobromite which changes the primary amide into an isocyanate intermediate. Water attacks the isocyanate intermediate causing the proton transfer and resulting in the formation of ammonium cation. Due to the thermal condition, the carbon dioxide explodes and after quenching ammonium cation, a primary amine product is formed.
When propionamide is heated with bromine in presence of potassium hydroxide or when propionamide undergoes Hofmann degradation, the product formed is ethyl amine.
The Hoffman degradation reaction of propionamide is shown below.

Image: Hofmann degradation reaction of propionamide
Therefore, the correct option is B.
Note: Hofmann degradation reaction is also termed as Hoffmann bromamide reaction. There is another term known as Hofmann elimination reaction in which tertiary amines and alkenes are formed as a product by reacting quaternary ammonium with methyl iodide and heating the compound formed with silver oxide and water.
The general reaction is shown below.

Image: Hofmann elimination reaction
Recently Updated Pages
Difference Between Alcohol and Phenol: Structure, Tests & Uses

Class 12 Chemistry Mock Test Series for JEE Main – Free Online Practice

Electricity and Magnetism Explained: Key Concepts & Applications

JEE Energetics Important Concepts and Tips for Exam Preparation

JEE Isolation, Preparation and Properties of Non-metals Important Concepts and Tips for Exam Preparation

JEE Main 2021 July 25 Shift 1 Question Paper with Answer Key

Trending doubts
JEE Main 2026: Application Form Open, Exam Dates, Syllabus, Eligibility & Question Papers

Derivation of Equation of Trajectory Explained for Students

Hybridisation in Chemistry – Concept, Types & Applications

Understanding the Angle of Deviation in a Prism

How to Convert a Galvanometer into an Ammeter or Voltmeter

JEE Main Marking Scheme 2026- Paper-Wise Marks Distribution and Negative Marking Details

Other Pages
Solutions Class 12 Chemistry Chapter 1 CBSE Notes - 2025-26

NCERT Solutions For Class 12 Chemistry Chapter 1 Solutions - 2025-26

The D and F Block Elements Class 12 Chemistry Chapter 4 CBSE Notes - 2025-26

NCERT Solutions for Class 12 Chemistry Chapter Chapter 7 Alcohol Phenol and Ether

NCERT Solutions ForClass 12 Chemistry Chapter Chapter 8 Aldehydes Ketones And Carboxylic Acids

JEE Advanced Marks vs Ranks 2025: Understanding Category-wise Qualifying Marks and Previous Year Cut-offs

