
Monochlorination of toluene in sunlight followed by hydrolysis with aq.NaOH yields:
A. o-Cresol
B. m-Cresol
C. 2,4-Dihydroxytoluene
D. Benzyl alcohol
Answer
215.1k+ views
Hint: As the name suggests monochlorination means chlorination with a single chlorine atom where multiple chlorination would be possible. As we know toluene also known as ‘toluol’ is an aromatic hydrocarbon.
Complete step by step answer:
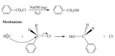
As we know halogenation in the presence of light follows a free radical pathway. Thus toluene will react with the alkyl group to give product haloalkyl and therefore, it will form haloalkyl in the presence of alkaline medium will undergo substitution at side chain rather than at the hydrogen of the aromatic ring and will form alcohol by replacing halogen atom in haloalkyl group.
Monochlorination of toluene to form benzyl alcohol by following two steps:
In the first step reaction,toluene reacts with chlorine in presence of sunlight at 383k to give Benzyl Chloride which is also called Chlorophenyl methane by substituting at side
chain rather than at hydrogen of the aromatic ring.

Now in the second step, this product Benzyl chloride reacts with aqueous sodium hydroxide to yield Benzyl alcohol via nucleophilic substitution reaction.

In this mechanism, the nucleophile which is -OH will attack the electrophilic carbon of haloalkane through oxygen and substitutes chloride to give Benzyl alcohol and the reaction is called Nucleophilic substitution reaction in which this benzyl chloride reacts with aqueous NaOH, as a result the NaCl formed will be eliminated and the remaining end product is Benzyl alcohol.
Therefore, the correct option is (D).
Additional information:
Benzyl alcohol is an aromatic alcohol with the formula \[{{C}_{6}}{{H}_{5}}C{{H}_{2}}OH\]
It is colourless liquid with a mild pleasant aromatic odour and it is a very useful solvent due to its polarity, low vapour pressure and low toxicity.
It is mild soluble in water and miscible in alcohols and diethyl ether. Benzyl alcohol is used for waxes, inks, paints, etc and it is also a precursor to a variety of esters and ethers which can be used in soap, perfume, etc.
Note: The benzyl group is abbreviated as ‘’Bn’’ not to be confused with ‘’Bz’’ which is used for benzoyl thus benzyl alcohol is denoted as BnOH not BzOH.
Complete step by step answer:
As we know halogenation in the presence of light follows a free radical pathway. Thus toluene will react with the alkyl group to give product haloalkyl and therefore, it will form haloalkyl in the presence of alkaline medium will undergo substitution at side chain rather than at the hydrogen of the aromatic ring and will form alcohol by replacing halogen atom in haloalkyl group.
Monochlorination of toluene to form benzyl alcohol by following two steps:
In the first step reaction,toluene reacts with chlorine in presence of sunlight at 383k to give Benzyl Chloride which is also called Chlorophenyl methane by substituting at side
chain rather than at hydrogen of the aromatic ring.

Now in the second step, this product Benzyl chloride reacts with aqueous sodium hydroxide to yield Benzyl alcohol via nucleophilic substitution reaction.

In this mechanism, the nucleophile which is -OH will attack the electrophilic carbon of haloalkane through oxygen and substitutes chloride to give Benzyl alcohol and the reaction is called Nucleophilic substitution reaction in which this benzyl chloride reacts with aqueous NaOH, as a result the NaCl formed will be eliminated and the remaining end product is Benzyl alcohol.
Therefore, the correct option is (D).
Additional information:
Benzyl alcohol is an aromatic alcohol with the formula \[{{C}_{6}}{{H}_{5}}C{{H}_{2}}OH\]
It is colourless liquid with a mild pleasant aromatic odour and it is a very useful solvent due to its polarity, low vapour pressure and low toxicity.
It is mild soluble in water and miscible in alcohols and diethyl ether. Benzyl alcohol is used for waxes, inks, paints, etc and it is also a precursor to a variety of esters and ethers which can be used in soap, perfume, etc.
Note: The benzyl group is abbreviated as ‘’Bn’’ not to be confused with ‘’Bz’’ which is used for benzoyl thus benzyl alcohol is denoted as BnOH not BzOH.
Recently Updated Pages
Chemical Equation - Important Concepts and Tips for JEE

JEE Main 2022 (July 29th Shift 1) Chemistry Question Paper with Answer Key

Conduction, Transfer of Energy Important Concepts and Tips for JEE

JEE Analytical Method of Vector Addition Important Concepts and Tips

Atomic Size - Important Concepts and Tips for JEE

JEE Main 2022 (June 29th Shift 1) Maths Question Paper with Answer Key

Trending doubts
JEE Main 2026: Application Form Open, Exam Dates, Syllabus, Eligibility & Question Papers

JEE Main Correction Window 2026 Session 1 Dates Announced - Edit Form Details, Dates and Link

Equation of Trajectory in Projectile Motion: Derivation & Proof

JEE Main 2026 Application Login: Direct Link, Registration, Form Fill, and Steps

Hybridisation in Chemistry – Concept, Types & Applications

Angle of Deviation in a Prism – Formula, Diagram & Applications

Other Pages
NCERT Solutions For Class 12 Chemistry Chapter 1 Solutions - 2025-26

NCERT Solutions for Class 12 Chemistry Chapter Chapter 7 Alcohol Phenol and Ether

NCERT Solutions ForClass 12 Chemistry Chapter Chapter 8 Aldehydes Ketones And Carboxylic Acids

JEE Advanced Marks vs Ranks 2025: Understanding Category-wise Qualifying Marks and Previous Year Cut-offs

Haloalkanes and Haloarenes Class 12 Chemistry Chapter 6 CBSE Notes - 2025-26

Solutions Class 12 Chemistry Chapter 1 CBSE Notes - 2025-26

