
Heating a mixture of ethyl alcohol and acetic acid in the presence of concentrated sulfuric acid produces a fruity-smelling compound. This reaction is called
A. Neutralisation
B. Ester hydrolysis
C. Esterification
D. Williamson's synthesis
Answer
215.4k+ views
Hint: When acetic acid is treated with ethyl alcohol in the presence of an acid catalyst concentrated sulfuric acid esters are generated. Esters have aromatic sweet-smelling substances.
Complete Step by Step Solution:
Carboxylic acids and alcohols react with each other to form esters.
This reaction occurs in the presence of an acid catalyst like concentrated sulfuric acid, dry hydrochloric gas, etc.
The completion of the reaction is characterised by the formation of sweet or fruity-smelling esters.
This reaction is called the esterification reaction.
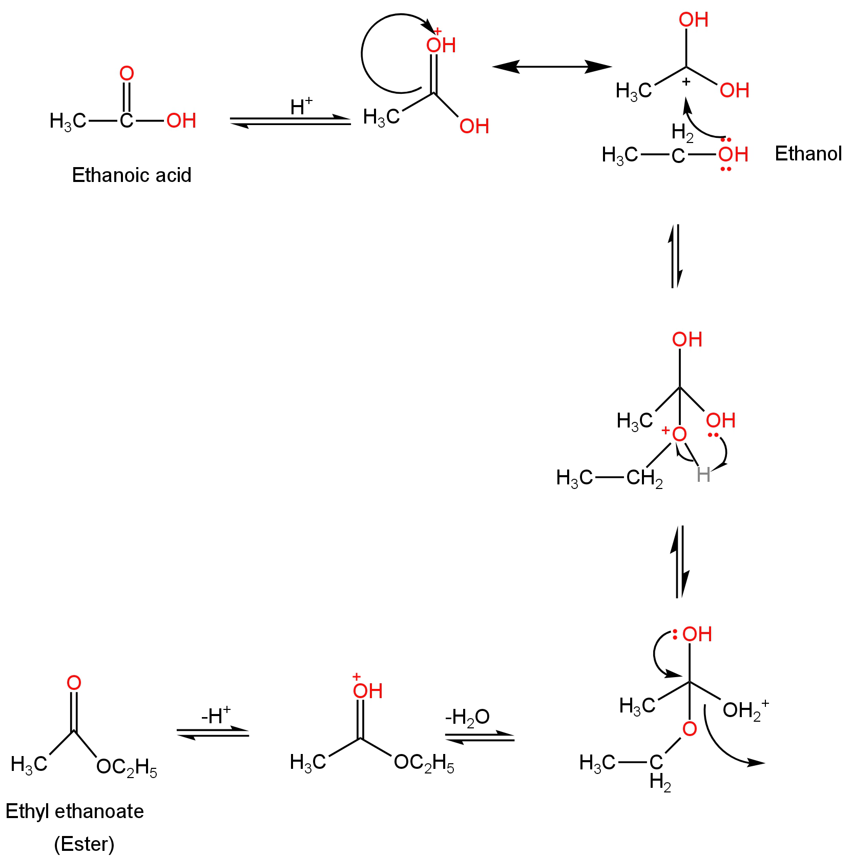
This reaction occurs through a four-step mechanism

Image: esterification mechanism
The first step involves the protonation of acetic acid.
The second step involves the attack of the lone pair of ethyl alcohol on the carbonyl carbon of acetic acid.
The third step involves the losing water molecule from the resulting product.
The fourth step involves the loss of proton giving rise to the ester.
So, option C is correct.
Additional Information: An ester earns its name from the carboxylic acid involved in the esterification reaction of that ester. These compounds possess a nice odour.
They are utilised in the fragrance and food trades. These are organic compounds we get in fats and oils.
Note: Esters are formed from the combination of carboxylic acids and alcohols. Esters are aromatic and hence are highly helpful in fragrances, makeups, and food seasonings. They are beneficial as an organic solvent as well. They are helpful in the production of soaps and detergents.
Complete Step by Step Solution:
Carboxylic acids and alcohols react with each other to form esters.
This reaction occurs in the presence of an acid catalyst like concentrated sulfuric acid, dry hydrochloric gas, etc.
The completion of the reaction is characterised by the formation of sweet or fruity-smelling esters.
This reaction is called the esterification reaction.
This reaction occurs through a four-step mechanism

Image: esterification mechanism
The first step involves the protonation of acetic acid.
The second step involves the attack of the lone pair of ethyl alcohol on the carbonyl carbon of acetic acid.
The third step involves the losing water molecule from the resulting product.
The fourth step involves the loss of proton giving rise to the ester.
So, option C is correct.
Additional Information: An ester earns its name from the carboxylic acid involved in the esterification reaction of that ester. These compounds possess a nice odour.
They are utilised in the fragrance and food trades. These are organic compounds we get in fats and oils.
Note: Esters are formed from the combination of carboxylic acids and alcohols. Esters are aromatic and hence are highly helpful in fragrances, makeups, and food seasonings. They are beneficial as an organic solvent as well. They are helpful in the production of soaps and detergents.
Recently Updated Pages
Chemical Equation - Important Concepts and Tips for JEE

JEE Main 2022 (July 29th Shift 1) Chemistry Question Paper with Answer Key

Conduction, Transfer of Energy Important Concepts and Tips for JEE

JEE Analytical Method of Vector Addition Important Concepts and Tips

Atomic Size - Important Concepts and Tips for JEE

JEE Main 2022 (June 29th Shift 1) Maths Question Paper with Answer Key

Trending doubts
JEE Main 2026: Application Form Open, Exam Dates, Syllabus, Eligibility & Question Papers

JEE Main Correction Window 2026 Session 1 Dates Announced - Edit Form Details, Dates and Link

Equation of Trajectory in Projectile Motion: Derivation & Proof

JEE Main 2026 Application Login: Direct Link, Registration, Form Fill, and Steps

Hybridisation in Chemistry – Concept, Types & Applications

Angle of Deviation in a Prism – Formula, Diagram & Applications

Other Pages
NCERT Solutions For Class 12 Chemistry Chapter 1 Solutions - 2025-26

NCERT Solutions for Class 12 Chemistry Chapter Chapter 7 Alcohol Phenol and Ether

NCERT Solutions ForClass 12 Chemistry Chapter Chapter 8 Aldehydes Ketones And Carboxylic Acids

JEE Advanced Marks vs Ranks 2025: Understanding Category-wise Qualifying Marks and Previous Year Cut-offs

Haloalkanes and Haloarenes Class 12 Chemistry Chapter 6 CBSE Notes - 2025-26

Solutions Class 12 Chemistry Chapter 1 CBSE Notes - 2025-26

