
Find the vertex connectivity of any tree.
A. One
B. Two
C. Three
D. None of the above
Answer
232.8k+ views
Hint: First recall the definition of vertex connectivity of a tree and the definition of a tree, then answer the given question.
Complete step by step solution:
The vertex connectivity of a graph G is the minimum number of vertices whose removal disconnects G.
Now, a tree is an undirected connected graph in which two vertices are connected by exactly one path.
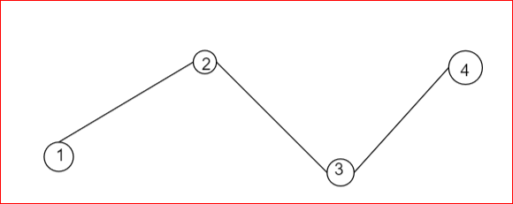
For example let us draw a tree,

Image: Tree
Now, from the image we can see that if we remove the edge of vertex 1 and 2 then the graph becomes disconnected also if we remove the edge of vertex 2 and 3 this also makes the graph disconnected.
Therefore, the removal of one vertex makes the graph disconnected.
Hence, the vertex connectivity of a tree is always one.
The correct option is A.
Note: Sometimes students draw a tree and shows that when they remove one vertex the graph got disconnected. This is also a good approach to answer this question.
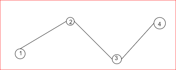
For example,

Image: Tree
This diagram is of a tree.
But, if we remove any one edge, suppose we are removing the edge of the vertices 1, 2. Then the graph becomes

Image: Tree
This is not a connected graph, therefore this is not a tree.
Hence, the vertex connectivity of a tree is 1.
Complete step by step solution:
The vertex connectivity of a graph G is the minimum number of vertices whose removal disconnects G.
Now, a tree is an undirected connected graph in which two vertices are connected by exactly one path.
For example let us draw a tree,

Image: Tree
Now, from the image we can see that if we remove the edge of vertex 1 and 2 then the graph becomes disconnected also if we remove the edge of vertex 2 and 3 this also makes the graph disconnected.
Therefore, the removal of one vertex makes the graph disconnected.
Hence, the vertex connectivity of a tree is always one.
The correct option is A.
Note: Sometimes students draw a tree and shows that when they remove one vertex the graph got disconnected. This is also a good approach to answer this question.
For example,

Image: Tree
This diagram is of a tree.
But, if we remove any one edge, suppose we are removing the edge of the vertices 1, 2. Then the graph becomes

Image: Tree
This is not a connected graph, therefore this is not a tree.
Hence, the vertex connectivity of a tree is 1.
Recently Updated Pages
Geometry of Complex Numbers Explained

JEE General Topics in Chemistry Important Concepts and Tips

JEE Extractive Metallurgy Important Concepts and Tips for Exam Preparation

JEE Amino Acids and Peptides Important Concepts and Tips for Exam Preparation

JEE Atomic Structure and Chemical Bonding important Concepts and Tips

Electricity and Magnetism Explained: Key Concepts & Applications

Trending doubts
JEE Main 2026: Session 2 Registration Open, City Intimation Slip, Exam Dates, Syllabus & Eligibility

JEE Main 2026 Application Login: Direct Link, Registration, Form Fill, and Steps

JEE Main Marking Scheme 2026- Paper-Wise Marks Distribution and Negative Marking Details

Understanding the Angle of Deviation in a Prism

Hybridisation in Chemistry – Concept, Types & Applications

How to Convert a Galvanometer into an Ammeter or Voltmeter

Other Pages
JEE Advanced Marks vs Ranks 2025: Understanding Category-wise Qualifying Marks and Previous Year Cut-offs

NCERT Solutions For Class 11 Maths Chapter 12 Limits and Derivatives (2025-26)

NCERT Solutions For Class 11 Maths Chapter 10 Conic Sections (2025-26)

Understanding the Electric Field of a Uniformly Charged Ring

JEE Advanced Weightage 2025 Chapter-Wise for Physics, Maths and Chemistry

Derivation of Equation of Trajectory Explained for Students

