
Arrange the following amino acids in order of their pKa order.
Lysine, Aspartic acid, Arginine, Glycine.
a) lys > Arg > Gly > Asp
b) Arg > Lys > Asp > Gly
c) Gly > Asp > Arg > Lys
d) Arg > Lys > Gly > Asp
Answer
233.1k+ views
Hint: The pKa value is used to indicate the strength of an acid. The pKa is the negative log of the Ka (acid dissociation constant) value. In other words, we can say that lower value of pKa indicates a stronger acid.
Complete Step by Step Solution:
In order to solve this question, we need to study the structures of each given amino acid and find out the acidic and basic group present in each of them.
A. Lysine:

Image caption – Structure of lysine
It has two basic groups in the form of \[ - N{H_2}\] and one acidic group in the form of \[ - COOH\].
Hence it is very slightly basic.
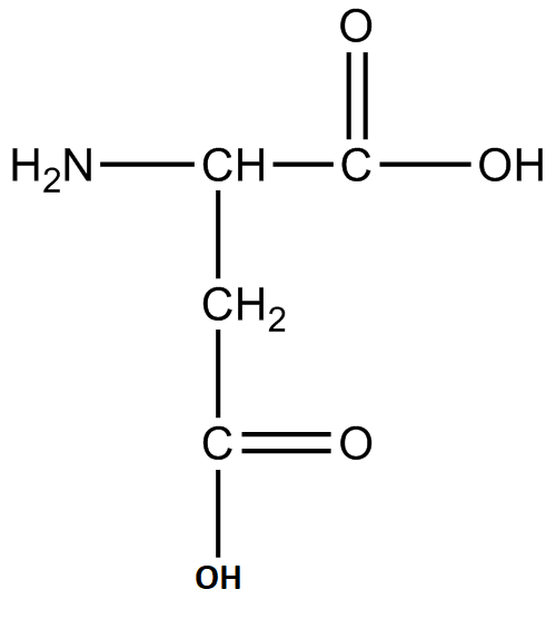
B. Aspartic acid:

Image caption – Structure of Aspartic acid
Similarly, this amino acid has two acidic groups and a basic group. Hence, it is acidic in nature.
C. Arginine:

Image caption – Structure of Arginine
Here three basic groups and an acidic group are found. Hence, it is the least acidic among all other options.
D. Glycine:

Image caption – Structure of Glycine
Here, there is a single acidic and a single basic group. Hence, it is neutral in nature.
As already mentioned above, by arranging the amino acids according to their acidic order, we get: Aspartic acid> Glycine> Lysine> Arginine
As already mentioned earlier, pKa is the negative log of Ka hence,
pKa order of these amino acids are, Arginine> Lysine> Glycine> Aspartic acid
Hence, the correct answer is option (D).
Note: The lower the value of pKa, the higher its acidity. The quantitative behavior of acids and bases in solution can be understood only if their pKa values are known. In particular, the pH of a solution can be predicted when the analytical concentration and pKa values of all acids and bases are known; conversely, it is possible to calculate the equilibrium concentration of the acids and bases in solution when the pH is known.
Complete Step by Step Solution:
In order to solve this question, we need to study the structures of each given amino acid and find out the acidic and basic group present in each of them.
A. Lysine:

Image caption – Structure of lysine
It has two basic groups in the form of \[ - N{H_2}\] and one acidic group in the form of \[ - COOH\].
Hence it is very slightly basic.
B. Aspartic acid:

Image caption – Structure of Aspartic acid
Similarly, this amino acid has two acidic groups and a basic group. Hence, it is acidic in nature.
C. Arginine:

Image caption – Structure of Arginine
Here three basic groups and an acidic group are found. Hence, it is the least acidic among all other options.
D. Glycine:

Image caption – Structure of Glycine
Here, there is a single acidic and a single basic group. Hence, it is neutral in nature.
As already mentioned above, by arranging the amino acids according to their acidic order, we get: Aspartic acid> Glycine> Lysine> Arginine
As already mentioned earlier, pKa is the negative log of Ka hence,
pKa order of these amino acids are, Arginine> Lysine> Glycine> Aspartic acid
Hence, the correct answer is option (D).
Note: The lower the value of pKa, the higher its acidity. The quantitative behavior of acids and bases in solution can be understood only if their pKa values are known. In particular, the pH of a solution can be predicted when the analytical concentration and pKa values of all acids and bases are known; conversely, it is possible to calculate the equilibrium concentration of the acids and bases in solution when the pH is known.
Recently Updated Pages
JEE Main 2023 April 6 Shift 1 Question Paper with Answer Key

JEE Main 2023 April 6 Shift 2 Question Paper with Answer Key

JEE Main 2023 (January 31 Evening Shift) Question Paper with Solutions [PDF]

JEE Main 2023 January 30 Shift 2 Question Paper with Answer Key

JEE Main 2023 January 25 Shift 1 Question Paper with Answer Key

JEE Main 2023 January 24 Shift 2 Question Paper with Answer Key

Trending doubts
JEE Main 2026: Session 2 Registration Open, City Intimation Slip, Exam Dates, Syllabus & Eligibility

JEE Main 2026 Application Login: Direct Link, Registration, Form Fill, and Steps

JEE Main Marking Scheme 2026- Paper-Wise Marks Distribution and Negative Marking Details

Understanding the Angle of Deviation in a Prism

Hybridisation in Chemistry – Concept, Types & Applications

How to Convert a Galvanometer into an Ammeter or Voltmeter

Other Pages
JEE Advanced Marks vs Ranks 2025: Understanding Category-wise Qualifying Marks and Previous Year Cut-offs

NCERT Solutions For Class 12 Chemistry Chapter 1 Solutions (2025-26)

Solutions Class 12 Chemistry Chapter 1 CBSE Notes - 2025-26

NCERT Solutions For Class 12 Chemistry Chapter 4 The d and f Block Elements (2025-26)

Biomolecules Class 12 Chemistry Chapter 10 CBSE Notes - 2025-26

NCERT Solutions For Class 12 Chemistry Chapter 10 Biomolecules (2025-26)

