
A simple pendulum makes 10 oscillations in 20 seconds. What is the time period and frequency of its oscillation?
Answer
224.7k+ views
Hint: The approach to solve this question is using relation of frequency with time period that is $f = \dfrac{1}{T}$ where f is the frequency and T is the time period, and unitary method , so putting values in formula is easy let us know little about unitary method which will also help you in the further problems.
Let us understand this concept with a basic example, assume that you are going to buy 12 balls cost 20 rupees so, 6 balls cost how many rupees:
For 12 balls we have 20 rupees
$12 \to 20$
For single for we have:
$1 \to \dfrac{{20}}{{12}} = \dfrac{5}{3}$
So, for 6 balls we have,
$6 \to 6 \times $$\dfrac{5}{3}$$ = 10$ rupees
Based on the above two concepts we will solve our question in an easy way.
Complete solution step by step:

According to the question given let us discuss some of related terms with this question
Simple Pendulum is a very small heavy bob suspended at a point from a fixed support using a single thread so that it oscillates freely. The distance between the point of suspension and bob’s centre is
the length of pendulum
One oscillation: One complete to and fro motion of the oscillating body is called one oscillation.
Frequency: It is the number of oscillations made by the body in one second.
Time Period: It is the time taken by a body to complete one oscillation.
So, let's follow the calculations
As mentioned, 10 oscillations in 20 seconds
$
10 \to 20 \\
1 \to \dfrac{{10}}{{20}} = 0.5\sec \\
$
So, for a single oscillation time taken or what we say time period is 0.5 seconds.
Further calculating frequency
$
f = \dfrac{1}{T} \\
= \dfrac{1}{{0.5}} = 2hz \\
$
So, frequency is 2 hertz.
Note: The motion discussed above is considered in simple harmonic motion.
Let is discuss some important parts regarding this motion:
To study the motion of bob we use sine wave forms which comes from a derivation
The formula used for calculating displacement in simple harmonic motion is
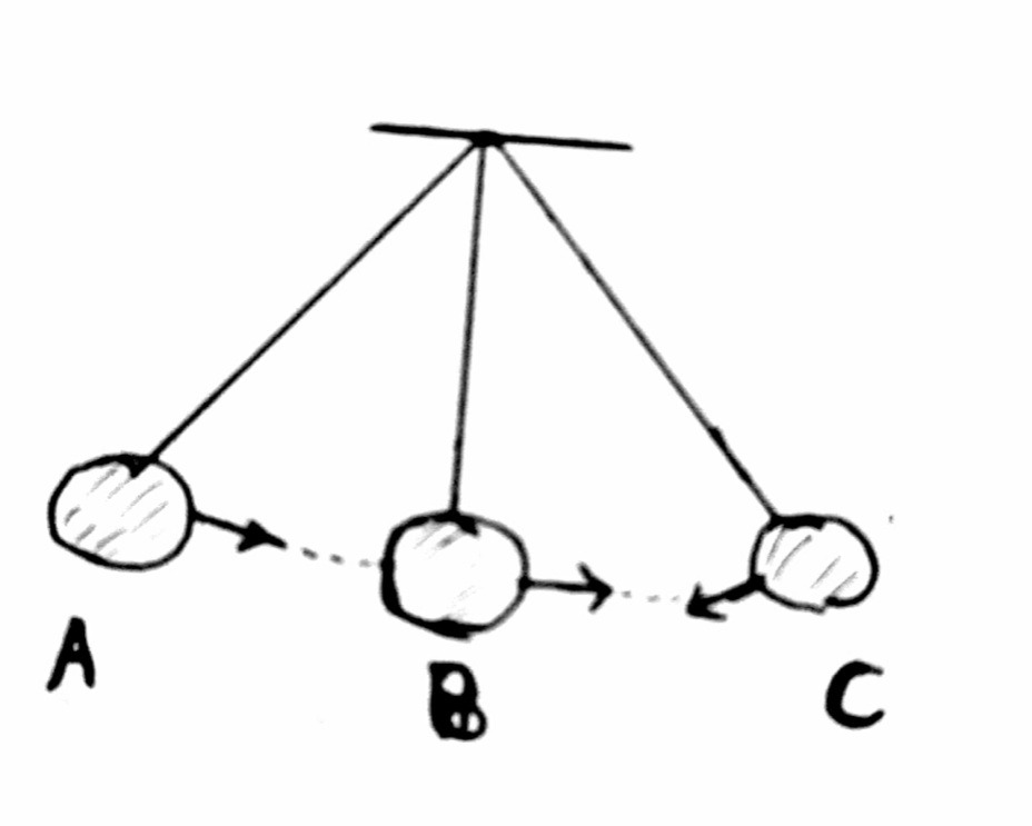
$s = A\sin \omega t$ where A is the amplitude or maximum displacement possible, w is the angular frequency and t is the time take to reach there so, by considering this formula our motion becomes like to and fro like in the diagram given where particle moves from B to C , then C to B , B to A , then back to B and this is called one complete cycle.

Let us understand this concept with a basic example, assume that you are going to buy 12 balls cost 20 rupees so, 6 balls cost how many rupees:
For 12 balls we have 20 rupees
$12 \to 20$
For single for we have:
$1 \to \dfrac{{20}}{{12}} = \dfrac{5}{3}$
So, for 6 balls we have,
$6 \to 6 \times $$\dfrac{5}{3}$$ = 10$ rupees
Based on the above two concepts we will solve our question in an easy way.
Complete solution step by step:

According to the question given let us discuss some of related terms with this question
Simple Pendulum is a very small heavy bob suspended at a point from a fixed support using a single thread so that it oscillates freely. The distance between the point of suspension and bob’s centre is
the length of pendulum
One oscillation: One complete to and fro motion of the oscillating body is called one oscillation.
Frequency: It is the number of oscillations made by the body in one second.
Time Period: It is the time taken by a body to complete one oscillation.
So, let's follow the calculations
As mentioned, 10 oscillations in 20 seconds
$
10 \to 20 \\
1 \to \dfrac{{10}}{{20}} = 0.5\sec \\
$
So, for a single oscillation time taken or what we say time period is 0.5 seconds.
Further calculating frequency
$
f = \dfrac{1}{T} \\
= \dfrac{1}{{0.5}} = 2hz \\
$
So, frequency is 2 hertz.
Note: The motion discussed above is considered in simple harmonic motion.
Let is discuss some important parts regarding this motion:
To study the motion of bob we use sine wave forms which comes from a derivation
The formula used for calculating displacement in simple harmonic motion is
$s = A\sin \omega t$ where A is the amplitude or maximum displacement possible, w is the angular frequency and t is the time take to reach there so, by considering this formula our motion becomes like to and fro like in the diagram given where particle moves from B to C , then C to B , B to A , then back to B and this is called one complete cycle.

Recently Updated Pages
Uniform Acceleration Explained: Formula, Examples & Graphs

JEE Main 2026 Session 1 Correction Window Started: Check Dates, Edit Link & Fees

JEE Isolation, Preparation and Properties of Non-metals Important Concepts and Tips for Exam Preparation

Isoelectronic Definition in Chemistry: Meaning, Examples & Trends

Ionisation Energy and Ionisation Potential Explained

Iodoform Reactions - Important Concepts and Tips for JEE

Trending doubts
JEE Main 2026: City Intimation Slip and Exam Dates Released, Application Form Closed, Syllabus & Eligibility

JEE Main 2026 Application Login: Direct Link, Registration, Form Fill, and Steps

Understanding the Angle of Deviation in a Prism

How to Convert a Galvanometer into an Ammeter or Voltmeter

Hybridisation in Chemistry – Concept, Types & Applications

Ideal and Non-Ideal Solutions Explained for Class 12 Chemistry

Other Pages
JEE Advanced Marks vs Ranks 2025: Understanding Category-wise Qualifying Marks and Previous Year Cut-offs

Laws of Motion Class 11 Physics Chapter 4 CBSE Notes - 2025-26

Mechanical Properties of Fluids Class 11 Physics Chapter 9 CBSE Notes - 2025-26

Units And Measurements Class 11 Physics Chapter 1 CBSE Notes - 2025-26

JEE Advanced 2026 - Exam Date (Released), Syllabus, Registration, Eligibility, Preparation, and More

JEE Advanced 2026 - Exam Date (Released), Syllabus, Registration, Eligibility, Preparation, and More

