
Write the reactions involved in Gabriel Phthalimide synthesis.
Answer
561k+ views
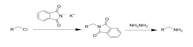
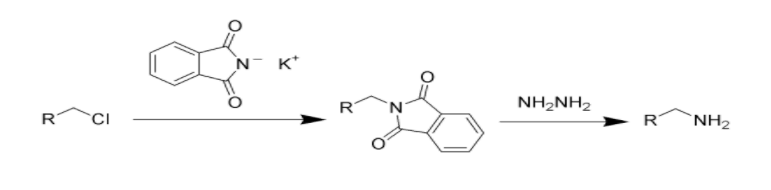
Hint: Let us first understand about Gabriel Phthalimide reaction. It is a chemical reaction in which the primary alkalyhallides are transformed into primary amines. Generally this reaction uses potassium phthalimide. This chemical reaction is named after the German chemist Siegmund Gabriel.
Complete Step by step answer: Gabriel Phthalimide synthesis is the chemical reaction that is involved in the preparation of amines. When potassium hydroxide reacts with phthalimide, a neulceophile in the form of an imide ion is formed. The imide ion along with alkyl halide undergoes a nucleophilic substitution reaction that forms an intermediate N-alkyl phthalimide. This intermediate phthalimide further undergoes hydrolysis or hydrazinolysis to yield a primary alkyl amine. Basically, the Gabriel reaction involves the alkylation of sulfonamides and amides that is followed by deprotection to obtain primary amines.
Steps involved in Gabriel Phthalimide synthesis:
-The potassium or sodium salts of phthalimide are N-alkylated with the primary alkyl halide to obtain the corresponding N-alkyl phthalimide.
-The phthalimide obtained by alkylation is not a nucleophile and hence does not react further. Therefore hydrolyzation of this intermediate phthalimide is necessary.
-Further, the alkyl phthalimide obtained undergoes hydrolysis to obtain primary amine.
Gabriel Phthalimide reaction:
Note: The aryl amines cannot be prepared by Gabriel phthalimide synthesis because aryl halides do not undergo simple nucleophilic substitution. The huge benefit of Gabriel phthalimide synthesis is that it avoids over alkylation.
Complete Step by step answer: Gabriel Phthalimide synthesis is the chemical reaction that is involved in the preparation of amines. When potassium hydroxide reacts with phthalimide, a neulceophile in the form of an imide ion is formed. The imide ion along with alkyl halide undergoes a nucleophilic substitution reaction that forms an intermediate N-alkyl phthalimide. This intermediate phthalimide further undergoes hydrolysis or hydrazinolysis to yield a primary alkyl amine. Basically, the Gabriel reaction involves the alkylation of sulfonamides and amides that is followed by deprotection to obtain primary amines.
Steps involved in Gabriel Phthalimide synthesis:
-The potassium or sodium salts of phthalimide are N-alkylated with the primary alkyl halide to obtain the corresponding N-alkyl phthalimide.
-The phthalimide obtained by alkylation is not a nucleophile and hence does not react further. Therefore hydrolyzation of this intermediate phthalimide is necessary.
-Further, the alkyl phthalimide obtained undergoes hydrolysis to obtain primary amine.
Gabriel Phthalimide reaction:
Note: The aryl amines cannot be prepared by Gabriel phthalimide synthesis because aryl halides do not undergo simple nucleophilic substitution. The huge benefit of Gabriel phthalimide synthesis is that it avoids over alkylation.
Recently Updated Pages
Describe the male reproductive system of the rabbit class 12 biology CBSE

CH3Cl has more dipole moment than CH3F because A Electron class 12 chemistry CBSE

The treatment of phenol with phthalic anhydride in class 12 chemistry CBSE

Can you think of any difference between DNAs and D class 12 biology CBSE

What is color blindness Explain its inheritance with class 12 biology CBSE

Why does glucose not undergo Schiffs base class 12 chemistry CBSE

Trending doubts
What are the major means of transport Explain each class 12 social science CBSE

Which are the Top 10 Largest Countries of the World?

Draw a labelled sketch of the human eye class 12 physics CBSE

Explain sex determination in humans with line diag class 12 biology CBSE

The pH of the pancreatic juice is A 64 B 86 C 120 D class 12 biology CBSE

Explain sex determination in humans with the help of class 12 biology CBSE

