
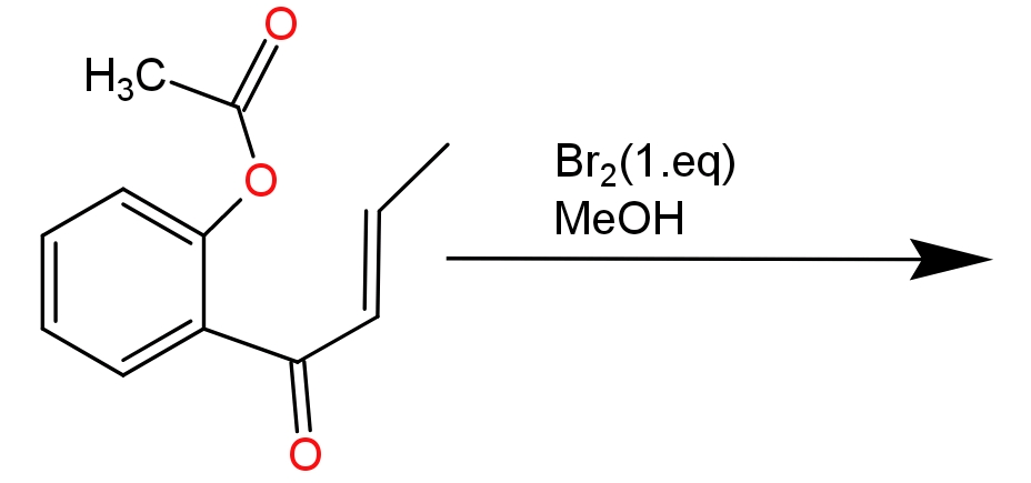
The product of this reaction will be?
(1)
(2)
(3)
(4)
Answer
558k+ views
Hint This reaction is an example of both electrophilic and nucleophilic addition reaction. Alkene is an electron rich centre which mainly shows electrophilic addition reaction.
Complete Step by step solution :
This reaction is completed into two steps - In the first step bromine acts as an electrophile and attacks the double bond of the substrate compound. In the approach of bromine double bond migrates toward the electrophile and electrophilic gets attached to the double bond. Since bromine has lone pairs of electrons, it will donate the lone pair to the other carbon which has positive charge and forms a cyclic halonium ion as an intermediate.
In the second step- methyl alcohol which is present in the form of solvent acts as a nucleophile and attacks the electron deficient carbon atom. Due to formation of cyclic halonium ion anti-addition of methyl alcohol takes place. To compensate the positive charge in oxonium ion it loses its hydrogen atom which will be accepted by bromide ion present in the solution.
Note: Br-Br bond is generally a non- polar bond but when it approaches the alkene(double bond or an electron rich centre) of the complex compound it gets polarised and gets induced charge on the bromine atom which acts as an electrophile.
-Due to the formation of cyclic halonium ions there is no re-arrangement of charge.
-Anti -addition of alcoholic grope takes place because cyclic halonium ion prevents the nucleophile from attacking from the same side.
Complete Step by step solution :
This reaction is completed into two steps - In the first step bromine acts as an electrophile and attacks the double bond of the substrate compound. In the approach of bromine double bond migrates toward the electrophile and electrophilic gets attached to the double bond. Since bromine has lone pairs of electrons, it will donate the lone pair to the other carbon which has positive charge and forms a cyclic halonium ion as an intermediate.
In the second step- methyl alcohol which is present in the form of solvent acts as a nucleophile and attacks the electron deficient carbon atom. Due to formation of cyclic halonium ion anti-addition of methyl alcohol takes place. To compensate the positive charge in oxonium ion it loses its hydrogen atom which will be accepted by bromide ion present in the solution.
Note: Br-Br bond is generally a non- polar bond but when it approaches the alkene(double bond or an electron rich centre) of the complex compound it gets polarised and gets induced charge on the bromine atom which acts as an electrophile.
-Due to the formation of cyclic halonium ions there is no re-arrangement of charge.
-Anti -addition of alcoholic grope takes place because cyclic halonium ion prevents the nucleophile from attacking from the same side.
Recently Updated Pages
The number of solutions in x in 02pi for which sqrt class 12 maths CBSE

Write any two methods of preparation of phenol Give class 12 chemistry CBSE

Differentiate between action potential and resting class 12 biology CBSE

Two plane mirrors arranged at right angles to each class 12 physics CBSE

Which of the following molecules is are chiral A I class 12 chemistry CBSE

Name different types of neurons and give one function class 12 biology CBSE

Trending doubts
Which are the Top 10 Largest Countries of the World?

What are the major means of transport Explain each class 12 social science CBSE

Draw a labelled sketch of the human eye class 12 physics CBSE

Differentiate between insitu conservation and exsitu class 12 biology CBSE

The computer jargonwwww stands for Aworld wide web class 12 physics CBSE

State the principle of an ac generator and explain class 12 physics CBSE

