
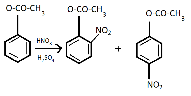
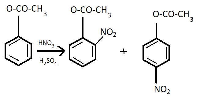
Mononitration of phenyl methanoate.
Answer
515.1k+ views
Hint: Formate whose IUPAC name is methanoate is the anion derived from formic acid. Its formula is chloroformate, $C{H_3}OCOCl$. The combined influence of —$OH$ and —$C{H_3}$ groups determines the position of the incoming group.
Complete answer:
Phenyl methanoate is a compound having very less shelf- life. So, it is very unstable. Its formula is ${C_6}{H_5}OCOH$.
It goes to the para position because the Benzene ring will be unstable if the $N{O_2}$group is attached anywhere else. It is an electron donating group and also an unstable compound at Meta or Ortho positions.
This process occurs in the presence of $HN{O_3}$ and ${H_2}S{O_4}$which is the nitrating mixture.
Note: Phenyl methanoate is a compound having very less life and hence it is very unstable. Its nitration is not feasible to carry out. But still if nitration is carried out then it will give a meta product. In such types of problems, the properties of compounds are very important.
Complete answer:
Phenyl methanoate is a compound having very less shelf- life. So, it is very unstable. Its formula is ${C_6}{H_5}OCOH$.
It goes to the para position because the Benzene ring will be unstable if the $N{O_2}$group is attached anywhere else. It is an electron donating group and also an unstable compound at Meta or Ortho positions.
This process occurs in the presence of $HN{O_3}$ and ${H_2}S{O_4}$which is the nitrating mixture.
Note: Phenyl methanoate is a compound having very less life and hence it is very unstable. Its nitration is not feasible to carry out. But still if nitration is carried out then it will give a meta product. In such types of problems, the properties of compounds are very important.
Recently Updated Pages
A man running at a speed 5 ms is viewed in the side class 12 physics CBSE

State and explain Hardy Weinbergs Principle class 12 biology CBSE

Which of the following statements is wrong a Amnion class 12 biology CBSE

Two Planoconcave lenses 1 and 2 of glass of refractive class 12 physics CBSE

The compound 2 methyl 2 butene on reaction with NaIO4 class 12 chemistry CBSE

Bacterial cell wall is made up of A Cellulose B Hemicellulose class 12 biology CBSE

Trending doubts
What are the major means of transport Explain each class 12 social science CBSE

Explain sex determination in humans with line diag class 12 biology CBSE

The pH of the pancreatic juice is A 64 B 86 C 120 D class 12 biology CBSE

Which prominent US inventor was known as the Wizard class 12 social science CBSE

Which state in India is known as the Granary of India class 12 social science CBSE

Draw a ray diagram of compound microscope when the class 12 physics CBSE

