
In the following reaction,
${C_2}{H_2}\xrightarrow[{HgS{O_4}/{H_2}S{O_4}}]{{{H_2}O}}X \rightleftharpoons C{H_3}CHO$
What is $X$ ?
(a) \[C{H_3}C{H_2}OH\]
(b) ${H_3} - O - C{H_3}$
(c) $C{H_3}C{H_2}CHO$
(d) $C{H_2} = CHOH$
Answer
554.7k+ views
Hint: The reactant alkyne reacts with ${H_2}O$ in presence of \[HgS{O_4}/{H_2}S{O_4}\] and forms a product. So, we have to think about the reaction in which alkyne reacts with ${H_2}O$ in presence of \[HgS{O_4}/{H_2}S{O_4}\] and then tautomerism because the compound ( $ \rightleftharpoons $ this sign shows that this compound is tautomerising itself) is changing itself.
Complete answer:
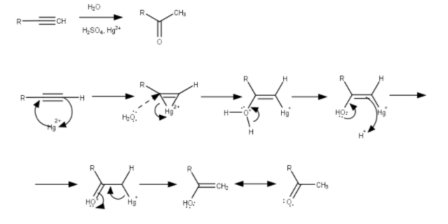
So, we have to start with the reaction in which alkyne reacts with ${H_2}O$ in presence of \[HgS{O_4}/{H_2}S{O_4}\]. So, that reaction is Alkyne Hydration.
Alkyne hydration:
So, we try to learn these reaction with an example,
So, let’s take an example,
$C{H_3} - C \equiv C - H + {H_2}O \to C{H_3}COC{H_3}$
Mechanism:
So, in case of unsymmetrical alkynes, the addition of water in the alkyne in according to the Markovnikov’s Rule, which states that the $O - $ atom will attach with the carbon having less number of $H - $ atoms and the two $H - $ atoms will attach with the carbon having greater number of $H - $ atoms.
But In these cases, the alkyne is symmetric.
So, we don’t have to follow any Markovnikov’s Rule,
And the reaction will be,
$H - C \equiv C - H\xrightarrow[{HgS{O_4}/{H_2}S{O_4}}]{{{H_2}O}}C{H_3}CHO$
Now, the $C{H_3}CHO$ will tautomerise itself,
So, let’s talk about tautomerism,
Tautomerism: When an aldehyde having one hydrogen atom, adjacent to the carbonyl group (i.e, \[\alpha \] carbon), this hydrogen can move to the oxygen atom of the carbonyl group and the double bond between the carbonyl group is shifted to the adjacent to the carbonyl group (i.e, \[\alpha \] carbon). This type of movement of bonds is called tautomerism and the compounds are called tautomers.
So, $C{H_3}CHO$ will tautomerise itself as
Hence, the complete reaction will be
${C_2}{H_2}\xrightarrow[{HgS{O_4}/{H_2}S{O_4}}]{{{H_2}O}}C{H_2} = CHOH \rightleftharpoons C{H_3}CHO$
Hence, the correct option is (D) $LiF$.
Note: While alkyne is reacting with ${H_2}O$ in presence of \[HgS{O_4}/{H_2}S{O_4}\] , we have to use the Markovnikov’s Rule when the alkyne is un-symmetric and when \[\alpha \] carbon is present, we must have to think once about the tautomerism.
Complete answer:
So, we have to start with the reaction in which alkyne reacts with ${H_2}O$ in presence of \[HgS{O_4}/{H_2}S{O_4}\]. So, that reaction is Alkyne Hydration.
Alkyne hydration:
So, we try to learn these reaction with an example,
So, let’s take an example,
$C{H_3} - C \equiv C - H + {H_2}O \to C{H_3}COC{H_3}$
Mechanism:
So, in case of unsymmetrical alkynes, the addition of water in the alkyne in according to the Markovnikov’s Rule, which states that the $O - $ atom will attach with the carbon having less number of $H - $ atoms and the two $H - $ atoms will attach with the carbon having greater number of $H - $ atoms.
But In these cases, the alkyne is symmetric.
So, we don’t have to follow any Markovnikov’s Rule,
And the reaction will be,
$H - C \equiv C - H\xrightarrow[{HgS{O_4}/{H_2}S{O_4}}]{{{H_2}O}}C{H_3}CHO$
Now, the $C{H_3}CHO$ will tautomerise itself,
So, let’s talk about tautomerism,
Tautomerism: When an aldehyde having one hydrogen atom, adjacent to the carbonyl group (i.e, \[\alpha \] carbon), this hydrogen can move to the oxygen atom of the carbonyl group and the double bond between the carbonyl group is shifted to the adjacent to the carbonyl group (i.e, \[\alpha \] carbon). This type of movement of bonds is called tautomerism and the compounds are called tautomers.
So, $C{H_3}CHO$ will tautomerise itself as
Hence, the complete reaction will be
${C_2}{H_2}\xrightarrow[{HgS{O_4}/{H_2}S{O_4}}]{{{H_2}O}}C{H_2} = CHOH \rightleftharpoons C{H_3}CHO$
Hence, the correct option is (D) $LiF$.
Note: While alkyne is reacting with ${H_2}O$ in presence of \[HgS{O_4}/{H_2}S{O_4}\] , we have to use the Markovnikov’s Rule when the alkyne is un-symmetric and when \[\alpha \] carbon is present, we must have to think once about the tautomerism.
Recently Updated Pages
Master Class 12 Economics: Engaging Questions & Answers for Success

Master Class 12 Physics: Engaging Questions & Answers for Success

Master Class 12 English: Engaging Questions & Answers for Success

Master Class 12 Social Science: Engaging Questions & Answers for Success

Master Class 12 Maths: Engaging Questions & Answers for Success

Master Class 12 Business Studies: Engaging Questions & Answers for Success

Trending doubts
Which are the Top 10 Largest Countries of the World?

What are the major means of transport Explain each class 12 social science CBSE

Draw a labelled sketch of the human eye class 12 physics CBSE

What is a transformer Explain the principle construction class 12 physics CBSE

Why cannot DNA pass through cell membranes class 12 biology CBSE

Differentiate between insitu conservation and exsitu class 12 biology CBSE

