
What happens when salicylic acid is treated with ${(C{H_2}CO)_2}O/{H^ + }$ ?
Write chemical equations in support of your answer.
Answer
557.4k+ views
Hint:The concept of reaction of carboxylic acids will be used here in this chemical reaction. This reaction involves cleavage of $O - H$ bond when the salicylic acid is treated with ${(C{H_2}CO)_2}O/{H^ + }$.
Complete answer:
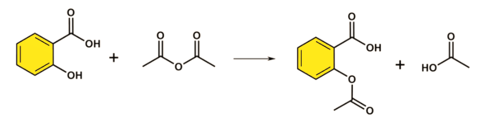
This is an acetylation reaction given in the question.
Acetylation reactions are those reactions in which acetyl groups get inserted in a compound. Here, acetyl group replaces a hydrogen atom. Acetyl group is ${H_3}C - CO$group.
When salicylic acid is treated with ${(C{H_2}CO)_2}O$ in presence of acid or ${H^ + }$ , it produces acetylsalicylic acid or aspirin.
Acetic acid is also produced as the by-product in the reaction. Salicylic acid reacts better with acetic acid than compared to when it reacts with acetic acid.
Chemical equation
This is an irreversible reaction. This produces an adequate amount of Aspirin. Aspirin is a drug used to treat several problems.
Here, acetic anhydride is used because reaction with acetic anhydride is not reversible, so the reaction can proceed in forward reaction only. Otherwise, it might get difficult to proceed the reaction after it attains equilibrium. The reaction can be done with acetic acid instead of acetic anhydride but the reaction is reversible when it is done with acetic acid. Then the reaction will go in reverse. This is known as hydrolysis of ester. This happens due to production of water. That’s why the yield becomes less. That’s why the reaction with acetic anhydride is necessary for industrial use.
Note:
It is important to use acetic anhydride for better yield. It also helps to proceed the reaction in a forward direction. Also remember that when an acetyl group replaces a hydrogen atom in the reaction then it is known as the Acetylation reaction.
Complete answer:
This is an acetylation reaction given in the question.
Acetylation reactions are those reactions in which acetyl groups get inserted in a compound. Here, acetyl group replaces a hydrogen atom. Acetyl group is ${H_3}C - CO$group.
When salicylic acid is treated with ${(C{H_2}CO)_2}O$ in presence of acid or ${H^ + }$ , it produces acetylsalicylic acid or aspirin.
Acetic acid is also produced as the by-product in the reaction. Salicylic acid reacts better with acetic acid than compared to when it reacts with acetic acid.
Chemical equation
This is an irreversible reaction. This produces an adequate amount of Aspirin. Aspirin is a drug used to treat several problems.
Here, acetic anhydride is used because reaction with acetic anhydride is not reversible, so the reaction can proceed in forward reaction only. Otherwise, it might get difficult to proceed the reaction after it attains equilibrium. The reaction can be done with acetic acid instead of acetic anhydride but the reaction is reversible when it is done with acetic acid. Then the reaction will go in reverse. This is known as hydrolysis of ester. This happens due to production of water. That’s why the yield becomes less. That’s why the reaction with acetic anhydride is necessary for industrial use.
Note:
It is important to use acetic anhydride for better yield. It also helps to proceed the reaction in a forward direction. Also remember that when an acetyl group replaces a hydrogen atom in the reaction then it is known as the Acetylation reaction.
Recently Updated Pages
The number of solutions in x in 02pi for which sqrt class 12 maths CBSE

Write any two methods of preparation of phenol Give class 12 chemistry CBSE

Differentiate between action potential and resting class 12 biology CBSE

Two plane mirrors arranged at right angles to each class 12 physics CBSE

Which of the following molecules is are chiral A I class 12 chemistry CBSE

Name different types of neurons and give one function class 12 biology CBSE

Trending doubts
State the principle of an ac generator and explain class 12 physics CBSE

Sketch the electric field lines in case of an electric class 12 physics CBSE

Derive an expression for electric potential at point class 12 physics CBSE

What is virtual and erect image ?

Explain the formation of energy bands in solids On class 12 physics CBSE

Draw a neat and well labeled diagram of TS of ovary class 12 biology CBSE

