
How many donor atoms are present in EDTA?
Answer
573.9k+ views
Hint:
We know that, the full name of EDTA is ethylenediaminetetraacetic acid and its molecular formula is \[{{\rm{C}}_{{\rm{10}}}}{{\rm{H}}_{{\rm{16}}}}{{\rm{N}}_{\rm{2}}}{{\rm{O}}_{\rm{8}}}\]. It has pH value between \[ - {\rm{0}}{\rm{.8}}\;{\rm{to}}\;{\rm{12}}\]. EDTA is versatile in nature. It can be used in the medical area and industrial area. It behaves as an acid, aminopolycarboxylic acid. It shows many side effects.
Complete step by step solution
Now, let’s discuss EDTA (ethylenediaminetetraacetic acid) in detail.
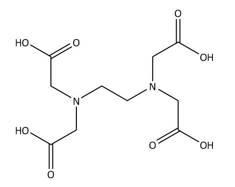
As we know that EDTA is a chelating agent, which is used in the separation of dye and other substances from heavy metals.it is a type of compound which can be used in household and industrial areas. In European inland, it has the highest concentration that is why it is named as an anthropogenic compound. Studies have detected poor biodegradability in the natural ecosystem. The structure of EDTA is shown below.
It is a hexadentate ligand, which means it has \[6\] lone pair of electrons that participate in coordination bonding. When a metal reacts with one molecule of EDTA, it can form \[6\] valent coordination complex. Metal ions have \[4\]bonds on oxygen atoms that are negatively charged and \[2\] bonds to a single electron pair on the nitrogen atom.
Therefore, EDTA has six donor atoms.
Notes:
EDTA is used as an anticoagulant for blood as it forms chelate with the calcium ions present in the blood responsible for the coagulation of blood. It is concluded that EDTA acts in the environment as a persistent substance and that its contribution to bioavailability and remobilization of heavy metals.
We know that, the full name of EDTA is ethylenediaminetetraacetic acid and its molecular formula is \[{{\rm{C}}_{{\rm{10}}}}{{\rm{H}}_{{\rm{16}}}}{{\rm{N}}_{\rm{2}}}{{\rm{O}}_{\rm{8}}}\]. It has pH value between \[ - {\rm{0}}{\rm{.8}}\;{\rm{to}}\;{\rm{12}}\]. EDTA is versatile in nature. It can be used in the medical area and industrial area. It behaves as an acid, aminopolycarboxylic acid. It shows many side effects.
Complete step by step solution
Now, let’s discuss EDTA (ethylenediaminetetraacetic acid) in detail.
As we know that EDTA is a chelating agent, which is used in the separation of dye and other substances from heavy metals.it is a type of compound which can be used in household and industrial areas. In European inland, it has the highest concentration that is why it is named as an anthropogenic compound. Studies have detected poor biodegradability in the natural ecosystem. The structure of EDTA is shown below.
It is a hexadentate ligand, which means it has \[6\] lone pair of electrons that participate in coordination bonding. When a metal reacts with one molecule of EDTA, it can form \[6\] valent coordination complex. Metal ions have \[4\]bonds on oxygen atoms that are negatively charged and \[2\] bonds to a single electron pair on the nitrogen atom.
Therefore, EDTA has six donor atoms.
Notes:
EDTA is used as an anticoagulant for blood as it forms chelate with the calcium ions present in the blood responsible for the coagulation of blood. It is concluded that EDTA acts in the environment as a persistent substance and that its contribution to bioavailability and remobilization of heavy metals.
Recently Updated Pages
A man running at a speed 5 ms is viewed in the side class 12 physics CBSE

State and explain Hardy Weinbergs Principle class 12 biology CBSE

Which of the following statements is wrong a Amnion class 12 biology CBSE

Two Planoconcave lenses 1 and 2 of glass of refractive class 12 physics CBSE

The compound 2 methyl 2 butene on reaction with NaIO4 class 12 chemistry CBSE

Bacterial cell wall is made up of A Cellulose B Hemicellulose class 12 biology CBSE

Trending doubts
What are the major means of transport Explain each class 12 social science CBSE

Which are the Top 10 Largest Countries of the World?

Explain sex determination in humans with line diag class 12 biology CBSE

Draw a labelled sketch of the human eye class 12 physics CBSE

How much time does it take to bleed after eating p class 12 biology CBSE

Suicide bags of cells are aEndoplasmic reticulum bLysosome class 12 biology CBSE

