
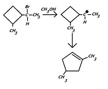
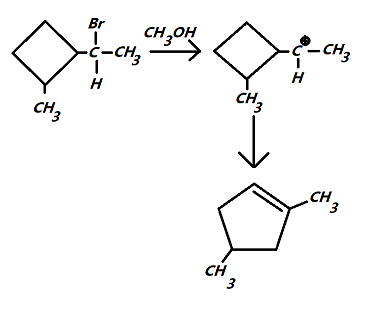
[X] as the major product among the elimination products is:


(B)

(C)

(D)





Answer
216k+ views
Hint: Here in the question we have to find the product of the given reaction in which we have to do the reaction between the given ring expansion as in the presence of Methanol and applied some heat to that reaction we have to find the solution of the reaction.
Complete Step by Step Solution:
As by seeing the above equation, we know that when any reaction held in the presence of Methanol it eliminates some bonds of the reactants and have convert them into the double bonds of the rings.
So, by making the whole reaction we get that,

By seen full steps of the reaction we get that firstly bromide is eliminated from the reaction as in the presence of methanol and a plus charge is applied on the centred carbon atom. After which it is converted to the Ring base structure made a double bond at that side.
As a Result, we get the correct answer as the structure provided on the (C) option.
Hence, the correct option is (C).
Note: This question is taken from Haloalkanes and Haloarenes. So, let’s we know that what are haloalkanes and haloarenes. Haloalkanes are those which contains alkanes with having halogens as in their substituents and in Haloarenes are those when any hydrogen atom is bonded to the benzene ring and got replaced by the halogen atoms and the compound which form from the whole reaction the compound is called as by the name of Haloarenes.
Complete Step by Step Solution:
As by seeing the above equation, we know that when any reaction held in the presence of Methanol it eliminates some bonds of the reactants and have convert them into the double bonds of the rings.
So, by making the whole reaction we get that,

By seen full steps of the reaction we get that firstly bromide is eliminated from the reaction as in the presence of methanol and a plus charge is applied on the centred carbon atom. After which it is converted to the Ring base structure made a double bond at that side.
As a Result, we get the correct answer as the structure provided on the (C) option.
Hence, the correct option is (C).
Note: This question is taken from Haloalkanes and Haloarenes. So, let’s we know that what are haloalkanes and haloarenes. Haloalkanes are those which contains alkanes with having halogens as in their substituents and in Haloarenes are those when any hydrogen atom is bonded to the benzene ring and got replaced by the halogen atoms and the compound which form from the whole reaction the compound is called as by the name of Haloarenes.
Recently Updated Pages
Difference Between Alcohol and Phenol: Structure, Tests & Uses

Classification of Drugs in Chemistry: Types, Examples & Exam Guide

JEE Atomic Structure and Chemical Bonding important Concepts and Tips

JEE Amino Acids and Peptides Important Concepts and Tips for Exam Preparation

Electricity and Magnetism Explained: Key Concepts & Applications

Chemical Properties of Hydrogen - Important Concepts for JEE Exam Preparation

Trending doubts
JEE Main 2026: Application Form Open, Exam Dates, Syllabus, Eligibility & Question Papers

JEE Main Correction Window 2026 Session 1 Dates Announced - Edit Form Details, Dates and Link

Derivation of Equation of Trajectory Explained for Students

Hybridisation in Chemistry – Concept, Types & Applications

Understanding the Angle of Deviation in a Prism

Understanding Collisions: Types and Examples for Students

Other Pages
NCERT Solutions For Class 12 Chemistry Chapter 1 Solutions - 2025-26

NCERT Solutions for Class 12 Chemistry Chapter Chapter 7 Alcohol Phenol and Ether

NCERT Solutions ForClass 12 Chemistry Chapter Chapter 8 Aldehydes Ketones And Carboxylic Acids

JEE Advanced Marks vs Ranks 2025: Understanding Category-wise Qualifying Marks and Previous Year Cut-offs

Haloalkanes and Haloarenes Class 12 Chemistry Chapter 6 CBSE Notes - 2025-26

Solutions Class 12 Chemistry Chapter 1 CBSE Notes - 2025-26

