
Which one of the following statements is not true?
1) Lactose contains \[\alpha \] -glycosidic linkage between \[{C_1}\] linkage of galactose and \[{C_4}\] of glucose.
2) Lactose is a reducing sugar and gives Fehling’s test.
3) On acid hydrolysis, lactose gives one molecule of D(+)-glucose and one molecule of D(+)- galactose.
4) Lactose (\[{{\rm{C}}_{{\rm{11}}}}{{\rm{H}}_{{\rm{22}}}}{{\rm{O}}_{{\rm{11}}}}\] ) is a disaccharide and it contains 8 hydroxyl groups.
Answer
218.7k+ views
Hint: When two monosaccharides or simple sugars undergo combination, the formation of disaccharides occurs. Some names of disaccharides are maltose, sucrose, lactose, etc. It is found in various milk forms.
Complete Step by Step Answer:
Let's discuss all the options one by one.
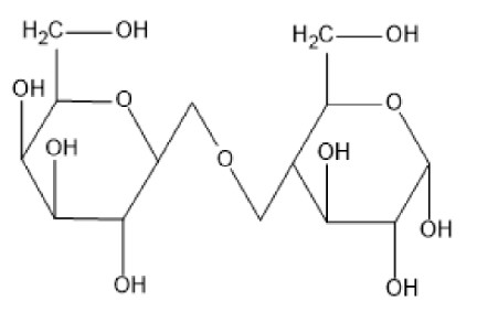
The structure of lactose is,

Fig: Lactose
The linkage between the \[{C_1}\] linkage of galactose and \[{C_4}\] of glucose is \[\beta \] -glycosidic linkage. Therefore, statement 1 is false.
The reducing sugars are those which behaves as a reducing agent in a solution of alkaline nature is termed reducing sugar. Lactose is a reducing sugar. Fehling's test is useful for the differentiation of ketone and aldehyde. And lactose gives a positive Fehling's test. Therefore, statement 2 is true.
Hydrolysis is the removal of a water molecule from a compound. On acidic hydrolysis of lactose, a molecule of D(+)- galactose and a molecule of D(+)-glucose each are obtained. Therefore, statement 3 is true. From the above diagram of glucose, we see that there are eight numbers of hydroxyl groups in the molecule of glucose and it is a disaccharide. Therefore, statement 4 is true.
Therefore, option 1 is right.
Note: Lactose intolerance is the condition in which our body is not capable of digesting lactose found in milk and other milk products. This occurs because of the shortage of adequate lactase which is produced by the small intestine and this enzyme helps in the digestion of lactose.
Complete Step by Step Answer:
Let's discuss all the options one by one.
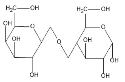
The structure of lactose is,

Fig: Lactose
The linkage between the \[{C_1}\] linkage of galactose and \[{C_4}\] of glucose is \[\beta \] -glycosidic linkage. Therefore, statement 1 is false.
The reducing sugars are those which behaves as a reducing agent in a solution of alkaline nature is termed reducing sugar. Lactose is a reducing sugar. Fehling's test is useful for the differentiation of ketone and aldehyde. And lactose gives a positive Fehling's test. Therefore, statement 2 is true.
Hydrolysis is the removal of a water molecule from a compound. On acidic hydrolysis of lactose, a molecule of D(+)- galactose and a molecule of D(+)-glucose each are obtained. Therefore, statement 3 is true. From the above diagram of glucose, we see that there are eight numbers of hydroxyl groups in the molecule of glucose and it is a disaccharide. Therefore, statement 4 is true.
Therefore, option 1 is right.
Note: Lactose intolerance is the condition in which our body is not capable of digesting lactose found in milk and other milk products. This occurs because of the shortage of adequate lactase which is produced by the small intestine and this enzyme helps in the digestion of lactose.
Recently Updated Pages
Is PPh3 a strong ligand class 12 chemistry JEE_Main

Full name of DDT is A 111trichloro22bispchlorophenyl class 12 chemistry JEE_Main

Sodium acetate on heating with soda lime produce A class 12 chemistry JEE_Main

Find the isoelectric point pI of Lysine A 556 B 974 class 12 chemistry JEE_Main

The order of basicity among the following compounds class 12 chemistry JEE_Main

The number of isomers in C4H10O are a7 b8 c6 d5 class 12 chemistry JEE_Main

Trending doubts
JEE Main 2026: Application Form Open, Exam Dates, Syllabus, Eligibility & Question Papers

Derivation of Equation of Trajectory Explained for Students

Hybridisation in Chemistry – Concept, Types & Applications

Understanding the Angle of Deviation in a Prism

Understanding Collisions: Types and Examples for Students

Understanding Atomic Structure for Beginners

Other Pages
NCERT Solutions For Class 12 Chemistry Chapter 1 Solutions - 2025-26

NCERT Solutions for Class 12 Chemistry Chapter Chapter 7 Alcohol Phenol and Ether

NCERT Solutions ForClass 12 Chemistry Chapter Chapter 8 Aldehydes Ketones And Carboxylic Acids

JEE Advanced Marks vs Ranks 2025: Understanding Category-wise Qualifying Marks and Previous Year Cut-offs

Haloalkanes and Haloarenes Class 12 Chemistry Chapter 6 CBSE Notes - 2025-26

Solutions Class 12 Chemistry Chapter 1 CBSE Notes - 2025-26

