
Which of the following is not a nitro derivative?
(a) \[{C_6}{H_5}N{O_2}\]
(b) \[C{H_3}C{H_2}ONO\]
(c) \[{(C{H_3})_2}CHN{O_2}\]
(d) \[{C_6}{H_4}(OH)N{O_2}\]
Answer
220.5k+ views
Hint: In nitro ethane (\[{C_2}{H_5}N{O_2}\]) the nitrogen atom is directly attached to the carbon atom of ethane. Whereas in ethyl nitrite (\[{C_2}{H_5}ON{O_2}\]) there is no direct nitrogen, and a carbon bond is present.
Complete step-by-step answer:
The nitro alkanes (\[R - N{O_2}\]) are the organic compounds that are called derivatives of alkanes.
The Presence of nitro group (\[ - N{O_2}\]) in nitro alkanes makes the \[C - H\] protons acidic i.e., \[ - N{O_2}\]strongly considered electron-withdrawing in nature.
The nitro groups are also known as explosophores i.e., they are present in various explosives. For example, Trinitrotoluene or TNT.
In nitro alkane, the \[ - N{O_2}\] group can be bonded to the alkane in two different ways. Therefore, it is called the ambident group.
When the nitrogen atom of the\[ - N{O_2}\]group is attached to the carbon atom of alkane, then it is called nitroalkane i.e., \[R - N{O_2}\].
While in alkane nitrite (\[R - ONO\]), there is no direct nitrogen and carbon bond present. On the other hand, their carbon atom is linked to the nitrogen atom via oxygen atoms.
The alkane nitrites are considered an isomeric form of nitroalkane.
The alkyl nitrites are the esters of nitrous acid.
The nitro alkane can be classified into three classes depending upon the nature of carbon bonded to nitrogen atom:
Primary nitro alkane
When there is methane, or a normal alkyl chain present then it is called primary nitro alkane.

Image: general structure of primary nitro alkane.
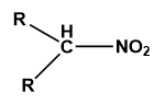
Secondary nitro alkane
When the isopropyl group is attached to the nitro group it is called secondary nitro alkane.

Image: General structure of secondary nitro alkane.
Tertiary nitroalkane
When the tertiary carbon atom is fused with the nitro group then it is called tertiary nitroalkane.

Image: General structure of tertiary nitroalkane.
Hence, from the above discussion. Option (b) will be the correct answer because \[C{H_3}C{H_2}ONO\] does not contain direct nitrogen and carbon bonds.
Note: The organic compounds which contain the nitro group are acidic in nature. Nitro compounds are used in the manufacturing of detergents, dyes, pharmaceuticals, and explosives.
Complete step-by-step answer:
The nitro alkanes (\[R - N{O_2}\]) are the organic compounds that are called derivatives of alkanes.
The Presence of nitro group (\[ - N{O_2}\]) in nitro alkanes makes the \[C - H\] protons acidic i.e., \[ - N{O_2}\]strongly considered electron-withdrawing in nature.
The nitro groups are also known as explosophores i.e., they are present in various explosives. For example, Trinitrotoluene or TNT.
In nitro alkane, the \[ - N{O_2}\] group can be bonded to the alkane in two different ways. Therefore, it is called the ambident group.
When the nitrogen atom of the\[ - N{O_2}\]group is attached to the carbon atom of alkane, then it is called nitroalkane i.e., \[R - N{O_2}\].
While in alkane nitrite (\[R - ONO\]), there is no direct nitrogen and carbon bond present. On the other hand, their carbon atom is linked to the nitrogen atom via oxygen atoms.
The alkane nitrites are considered an isomeric form of nitroalkane.
The alkyl nitrites are the esters of nitrous acid.
The nitro alkane can be classified into three classes depending upon the nature of carbon bonded to nitrogen atom:
Primary nitro alkane
When there is methane, or a normal alkyl chain present then it is called primary nitro alkane.

Image: general structure of primary nitro alkane.
Secondary nitro alkane
When the isopropyl group is attached to the nitro group it is called secondary nitro alkane.

Image: General structure of secondary nitro alkane.
Tertiary nitroalkane
When the tertiary carbon atom is fused with the nitro group then it is called tertiary nitroalkane.

Image: General structure of tertiary nitroalkane.
Hence, from the above discussion. Option (b) will be the correct answer because \[C{H_3}C{H_2}ONO\] does not contain direct nitrogen and carbon bonds.
Note: The organic compounds which contain the nitro group are acidic in nature. Nitro compounds are used in the manufacturing of detergents, dyes, pharmaceuticals, and explosives.
Recently Updated Pages
JEE Main Mock Test 2025-26: Principles Related To Practical

JEE Main Mock Test 2025-26: Principles Related To Practical

JEE Main 2025-26 Organic Compounds Containing Nitrogen Mock Test

JEE Main 2025-26 Mock Test: Organic Compounds Containing Nitrogen

JEE Main 2025-26 Organic Compounds Containing Oxygen Mock Test

JEE Main Mock Test 2025-26: Purification & Characterisation of Organic Compounds

Trending doubts
JEE Main 2026: Application Form Open, Exam Dates, Syllabus, Eligibility & Question Papers

Derivation of Equation of Trajectory Explained for Students

Hybridisation in Chemistry – Concept, Types & Applications

Understanding the Angle of Deviation in a Prism

How to Convert a Galvanometer into an Ammeter or Voltmeter

JEE Main Marking Scheme 2026- Paper-Wise Marks Distribution and Negative Marking Details

Other Pages
Solutions Class 12 Chemistry Chapter 1 CBSE Notes - 2025-26

NCERT Solutions For Class 12 Chemistry Chapter 1 Solutions - 2025-26

The D and F Block Elements Class 12 Chemistry Chapter 4 CBSE Notes - 2025-26

NCERT Solutions for Class 12 Chemistry Chapter Chapter 7 Alcohol Phenol and Ether

NCERT Solutions ForClass 12 Chemistry Chapter Chapter 8 Aldehydes Ketones And Carboxylic Acids

JEE Advanced Marks vs Ranks 2025: Understanding Category-wise Qualifying Marks and Previous Year Cut-offs

