
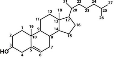
The structure of naturally occurring steroid cholesterol is given:
Which of the following statements are correct?

This question has multiple correct options.
(A) There are nine chiral centers in the cholesterol
(B) It is a pentacyclic compound
(C) There are two quaternary carbon atoms in the compound
(D) There are six tertiary carbon atoms in the compound
Answer
221.4k+ views
Hint: Cholesterol: It is a sterol (or modified steroid), a lipid molecule, and is biosynthesized by all animal cells because it is an essential structural component of all animals (not plant or bacterial) cell membranes that are required to maintain both membrane structural integrity and fluidity.
Complete step by step solution:

> A chiral center is defined as an atom in a molecule that is bonded to four different chemical species, allowing for optical isomerism. There are eight chiral centers in cholesterol. There is no internal plane of symmetry so each carbon is different.
> Cholesterol contains four rings. So, it is a tetracyclic compound.
> Quaternary carbon atom: It is a carbon atom bonded to the other four carbon atoms.
> In cholesterol, there are four alicyclic rings and two quaternary carbon atoms in the compound which are ${ C-10 }$ and ${ C-13 }$.
> There are six tertiary carbon atoms in the compound which are ${ C-8 }, { C-9 }, { C-14 }, { C-17 }, { C-20 }, and { C-25 }$.
Hence, the correct option is B.
Note:The possibility to make a mistake is that you may choose option C as there are four quaternary carbons but there are four alicyclic rings and two quaternary carbon atoms.
Complete step by step solution:

> A chiral center is defined as an atom in a molecule that is bonded to four different chemical species, allowing for optical isomerism. There are eight chiral centers in cholesterol. There is no internal plane of symmetry so each carbon is different.
> Cholesterol contains four rings. So, it is a tetracyclic compound.
> Quaternary carbon atom: It is a carbon atom bonded to the other four carbon atoms.
> In cholesterol, there are four alicyclic rings and two quaternary carbon atoms in the compound which are ${ C-10 }$ and ${ C-13 }$.
> There are six tertiary carbon atoms in the compound which are ${ C-8 }, { C-9 }, { C-14 }, { C-17 }, { C-20 }, and { C-25 }$.
Hence, the correct option is B.
Note:The possibility to make a mistake is that you may choose option C as there are four quaternary carbons but there are four alicyclic rings and two quaternary carbon atoms.
Recently Updated Pages
Difference Between Alcohol and Phenol: Structure, Tests & Uses

Classification of Drugs in Chemistry: Types, Examples & Exam Guide

Class 12 Chemistry Mock Test Series for JEE Main – Free Online Practice

Is PPh3 a strong ligand class 12 chemistry JEE_Main

Full name of DDT is A 111trichloro22bispchlorophenyl class 12 chemistry JEE_Main

Sodium acetate on heating with soda lime produce A class 12 chemistry JEE_Main

Trending doubts
JEE Main 2026: Application Form Open, Exam Dates, Syllabus, Eligibility & Question Papers

Derivation of Equation of Trajectory Explained for Students

Hybridisation in Chemistry – Concept, Types & Applications

Understanding the Angle of Deviation in a Prism

How to Convert a Galvanometer into an Ammeter or Voltmeter

Degree of Dissociation: Meaning, Formula, Calculation & Uses

Other Pages
Solutions Class 12 Chemistry Chapter 1 CBSE Notes - 2025-26

NCERT Solutions For Class 12 Chemistry Chapter 1 Solutions - 2025-26

The D and F Block Elements Class 12 Chemistry Chapter 4 CBSE Notes - 2025-26

NCERT Solutions for Class 12 Chemistry Chapter Chapter 7 Alcohol Phenol and Ether

NCERT Solutions ForClass 12 Chemistry Chapter Chapter 8 Aldehydes Ketones And Carboxylic Acids

JEE Advanced Marks vs Ranks 2025: Understanding Category-wise Qualifying Marks and Previous Year Cut-offs

