
Reagent, 1-naphthylamine, and sulfanilic acid in acetic acid are used for the detection of
A. \[{\rm{NO}}\]
B. \[{{\rm{N}}_{\rm{2}}}{\rm{O}}\]
C. \[{\rm{N}}{{\rm{O}}^{\rm{3}}}^{\rm{ - }}\]
D. \[{\rm{N}}{{\rm{O}}^{\rm{2}}}^{\rm{ - }}\]
Answer
225.3k+ views
Hint: When an aromatic amine reacts with nitrous acid at 273-278K forms arene diazonium salt. This arene diazonium salt on treatment with amines forms brightly coloured azo dye.
Complete Step by Step Solution:
Nitrite ions combine with acetic acid to form nitrous acid and acetate ions.
\[{\rm{N}}{{\rm{O}}^{{\rm{2 - }}}}{\rm{ + C}}{{\rm{H}}_{\rm{3}}}{\rm{COOH}} \to {\rm{HN}}{{\rm{O}}_2}{\rm{ + C}}{{\rm{H}}_{\rm{3}}}{\rm{CO}}{{\rm{O}}^{\rm{ - }}}\]
This nitrous acid then reacts with sulfanilic acid.
When sulfanilic acid is added to a 1-naphthylamine reagent acidified with acetic acid, sulphanilic acid undergoes diazotization in presence of nitrous acid.

Image: Formation of diazotized sulfanilic acid.
Diazotized sulfanilic acid when treated with 1-naphthyl amine undergo coupling reaction.
Red azo dye is formed as a product. The IUPAC name of the compound is p-sulfobenzene-azo-1-naphthyl amine.

Image: Reaction of diazotized sulfanilic acid with 1-naphthyl amine.
This confirms the presence of nitrite ions in a given solution.
Sulphanilic acid and 1-naphthylamine reagent test or the Griess-Ilosvay test is the test for nitrite ions.
So, option D is correct.
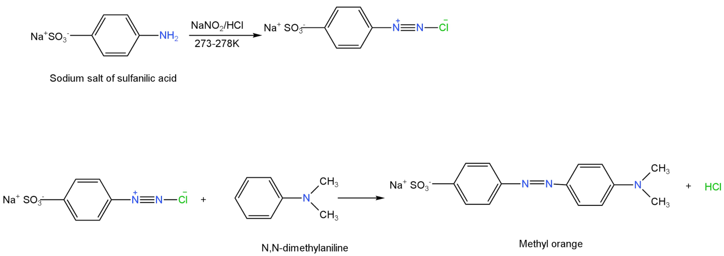
Additional information: The well-known indicator methyl orange which is widely utilized in acid-base titrations is obtained by coupling the diazonium salt of sulfanilic acid with N, N-dimethylaniline.

Image: Formation of methyl orange.
Note: The coupling reaction of the arene diazonium salt with amine happens in a faintly acidic medium(pH 4-5) at 273-278K. The coupling reaction is an example of an electrophilic substitution reaction.In this reaction, the diazonium action with the positive charge on the terminal nitrogen acts as the electrophile. The electron-rich compound amine acts as the nucleophile. Coupling occurs at the para position with the amino group. The colour of the azo compounds is due to the extended conjugation involving the double bonds of both the arene (benzene) rings through the \[{\rm{ - N = N - }}\] double bond.
Complete Step by Step Solution:
Nitrite ions combine with acetic acid to form nitrous acid and acetate ions.
\[{\rm{N}}{{\rm{O}}^{{\rm{2 - }}}}{\rm{ + C}}{{\rm{H}}_{\rm{3}}}{\rm{COOH}} \to {\rm{HN}}{{\rm{O}}_2}{\rm{ + C}}{{\rm{H}}_{\rm{3}}}{\rm{CO}}{{\rm{O}}^{\rm{ - }}}\]
This nitrous acid then reacts with sulfanilic acid.
When sulfanilic acid is added to a 1-naphthylamine reagent acidified with acetic acid, sulphanilic acid undergoes diazotization in presence of nitrous acid.

Image: Formation of diazotized sulfanilic acid.
Diazotized sulfanilic acid when treated with 1-naphthyl amine undergo coupling reaction.
Red azo dye is formed as a product. The IUPAC name of the compound is p-sulfobenzene-azo-1-naphthyl amine.

Image: Reaction of diazotized sulfanilic acid with 1-naphthyl amine.
This confirms the presence of nitrite ions in a given solution.
Sulphanilic acid and 1-naphthylamine reagent test or the Griess-Ilosvay test is the test for nitrite ions.
So, option D is correct.
Additional information: The well-known indicator methyl orange which is widely utilized in acid-base titrations is obtained by coupling the diazonium salt of sulfanilic acid with N, N-dimethylaniline.

Image: Formation of methyl orange.
Note: The coupling reaction of the arene diazonium salt with amine happens in a faintly acidic medium(pH 4-5) at 273-278K. The coupling reaction is an example of an electrophilic substitution reaction.In this reaction, the diazonium action with the positive charge on the terminal nitrogen acts as the electrophile. The electron-rich compound amine acts as the nucleophile. Coupling occurs at the para position with the amino group. The colour of the azo compounds is due to the extended conjugation involving the double bonds of both the arene (benzene) rings through the \[{\rm{ - N = N - }}\] double bond.
Recently Updated Pages
JEE Main 2026 Session 1 Correction Window Started: Check Dates, Edit Link & Fees

JEE Isolation, Preparation and Properties of Non-metals Important Concepts and Tips for Exam Preparation

Isoelectronic Definition in Chemistry: Meaning, Examples & Trends

Ionisation Energy and Ionisation Potential Explained

Iodoform Reactions - Important Concepts and Tips for JEE

Introduction to Dimensions: Understanding the Basics

Trending doubts
JEE Main 2026: City Intimation Slip and Exam Dates Released, Application Form Closed, Syllabus & Eligibility

JEE Main 2026 Application Login: Direct Link, Registration, Form Fill, and Steps

Understanding the Angle of Deviation in a Prism

Hybridisation in Chemistry – Concept, Types & Applications

How to Convert a Galvanometer into an Ammeter or Voltmeter

Ideal and Non-Ideal Solutions Explained for Class 12 Chemistry

Other Pages
JEE Advanced Marks vs Ranks 2025: Understanding Category-wise Qualifying Marks and Previous Year Cut-offs

Thermodynamics Class 11 Chemistry Chapter 5 CBSE Notes - 2025-26

Organic Chemistry Some Basic Principles And Techniques Class 11 Chemistry Chapter 8 CBSE Notes - 2025-26

Hydrocarbons Class 11 Chemistry Chapter 9 CBSE Notes - 2025-26

JEE Advanced 2026 - Exam Date (Released), Syllabus, Registration, Eligibility, Preparation, and More

JEE Advanced 2026 - Exam Date (Released), Syllabus, Registration, Eligibility, Preparation, and More

