
In acidic and alkaline solution amino acid exists as a-
(A) Positive and negative ion respectively
(B) Negative and positive ion respectively
(C) Neutral in both medium
(D) None of these.
Answer
220.5k+ views
Hint: In acidic conditions, the amino acid acts as a base and accepts a proton at the amino group. In alkaline conditions, the amino acid acts as an acid and donates a proton from its carboxyl group.
Complete step by step solution:
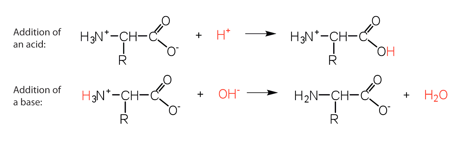
-The structure of an amino acid allows it to act as both an acid and a base. This is because at a certain pH value (different for each amino acid) nearly all the amino acid molecules exist as zwitterions.
-If acid is added to a solution containing the zwitterion, the carboxylate group captures a hydrogen $\left(\mathrm{H}^{+}\right)$ ion and the amino acid becomes positively charged.
-If base is added, ion removal of the $\mathrm{H}^{+}$ ion from the amino group of the zwitterion produces a negatively charged amino acid.
In both circumstances, the amino acid acts to maintain the $\mathrm{pH}$ of the system- that is, to remove the added acid ( $\mathrm{H}^{+}$ ) or base ( $\mathrm{OH}^{-}$ ) from solution.
-Thus, in acidic medium, the amino acid has a positive charge, thus a positive charge. In a basic medium, it possesses a negative charge.

Clearly, the answer is A.
Note: Zwitterion is a molecule that contains an equal number of positively- and negatively-charged functional groups. In an acidic and basic medium, it possesses a charge and becomes ions.
Complete step by step solution:
-The structure of an amino acid allows it to act as both an acid and a base. This is because at a certain pH value (different for each amino acid) nearly all the amino acid molecules exist as zwitterions.
-If acid is added to a solution containing the zwitterion, the carboxylate group captures a hydrogen $\left(\mathrm{H}^{+}\right)$ ion and the amino acid becomes positively charged.
-If base is added, ion removal of the $\mathrm{H}^{+}$ ion from the amino group of the zwitterion produces a negatively charged amino acid.
In both circumstances, the amino acid acts to maintain the $\mathrm{pH}$ of the system- that is, to remove the added acid ( $\mathrm{H}^{+}$ ) or base ( $\mathrm{OH}^{-}$ ) from solution.
-Thus, in acidic medium, the amino acid has a positive charge, thus a positive charge. In a basic medium, it possesses a negative charge.

Clearly, the answer is A.
Note: Zwitterion is a molecule that contains an equal number of positively- and negatively-charged functional groups. In an acidic and basic medium, it possesses a charge and becomes ions.
Recently Updated Pages
Difference Between Alcohol and Phenol: Structure, Tests & Uses

Class 12 Chemistry Mock Test Series for JEE Main – Free Online Practice

Electricity and Magnetism Explained: Key Concepts & Applications

JEE Energetics Important Concepts and Tips for Exam Preparation

JEE Isolation, Preparation and Properties of Non-metals Important Concepts and Tips for Exam Preparation

JEE Main 2021 July 25 Shift 1 Question Paper with Answer Key

Trending doubts
JEE Main 2026: Application Form Open, Exam Dates, Syllabus, Eligibility & Question Papers

Derivation of Equation of Trajectory Explained for Students

Hybridisation in Chemistry – Concept, Types & Applications

Understanding the Angle of Deviation in a Prism

How to Convert a Galvanometer into an Ammeter or Voltmeter

JEE Main Marking Scheme 2026- Paper-Wise Marks Distribution and Negative Marking Details

Other Pages
Solutions Class 12 Chemistry Chapter 1 CBSE Notes - 2025-26

NCERT Solutions For Class 12 Chemistry Chapter 1 Solutions - 2025-26

The D and F Block Elements Class 12 Chemistry Chapter 4 CBSE Notes - 2025-26

NCERT Solutions for Class 12 Chemistry Chapter Chapter 7 Alcohol Phenol and Ether

NCERT Solutions ForClass 12 Chemistry Chapter Chapter 8 Aldehydes Ketones And Carboxylic Acids

JEE Advanced Marks vs Ranks 2025: Understanding Category-wise Qualifying Marks and Previous Year Cut-offs

