
Which of the following is a non-reducing sugar?
A. Glucose
B. Sucrose
C. Maltose
D. Lactose
Answer
208.5k+ views
Hint: Non-reducing sugars does have a group attached to any of the anomeric carbon. Therefore, they are unable to reduce other compounds.
Complete step by step answer:
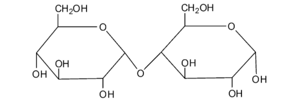
We can draw the structure of sucrose as follows:

The molecule of sucrose is a disaccharide. From the structure, we can see that sucrose is a combination of the monosaccharides fructose and glucose with the formula ${{\rm{C}}_{{\rm{12}}}}{{\rm{H}}_{{\rm{22}}}}{{\rm{O}}_{{\rm{11}}}}$. It is a non-reducing sugar as this molecule does not have characteristics of the reducing sugars. The two monosaccharide units are connected by a glycosidic linkage between ${{\rm{C}}_{\rm{1}}}$ of ${\rm{\alpha }} - $ glucose and ${{\rm{C}}_{\rm{2}}}$ of ${\rm{\beta }} - $ fructose. As the reducing groups of the glucose molecule and fructose molecules are involved in the formation of the glycosidic, sucrose is considered a non-reducing sugar.
Therefore, Sucrose is a non-reducing sugar.
So, out of the given four options, B is the correct option.
Additional information:
We can draw the structure of glucose as follows:

Glucose is a monosaccharide. As glucose acts as a reducing agent, it is reconsidered as a reducing sugar.
We can draw the structure of maltose as follows:

Maltose is made by the combination of two glucose molecules. Maltose undergoes mutarotation. Because of this reason, maltose is considered as a reducing sugar.
We can draw the structure of lactose as follows:

Lactose is composed by the combination of a glucose and a galactose molecule. Lactose undergoes mutarotation and it is hence a reducing sugar.
Note:
Monosaccharides are considered as reducing sugars. Then sugar that cannot act as a reducing agent are non-reducing agents. Out of disaccharides, sucrose is a well-known non-reducing sugar.
Complete step by step answer:
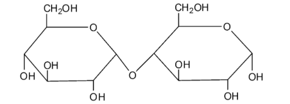
We can draw the structure of sucrose as follows:

The molecule of sucrose is a disaccharide. From the structure, we can see that sucrose is a combination of the monosaccharides fructose and glucose with the formula ${{\rm{C}}_{{\rm{12}}}}{{\rm{H}}_{{\rm{22}}}}{{\rm{O}}_{{\rm{11}}}}$. It is a non-reducing sugar as this molecule does not have characteristics of the reducing sugars. The two monosaccharide units are connected by a glycosidic linkage between ${{\rm{C}}_{\rm{1}}}$ of ${\rm{\alpha }} - $ glucose and ${{\rm{C}}_{\rm{2}}}$ of ${\rm{\beta }} - $ fructose. As the reducing groups of the glucose molecule and fructose molecules are involved in the formation of the glycosidic, sucrose is considered a non-reducing sugar.
Therefore, Sucrose is a non-reducing sugar.
So, out of the given four options, B is the correct option.
Additional information:
We can draw the structure of glucose as follows:

Glucose is a monosaccharide. As glucose acts as a reducing agent, it is reconsidered as a reducing sugar.
We can draw the structure of maltose as follows:

Maltose is made by the combination of two glucose molecules. Maltose undergoes mutarotation. Because of this reason, maltose is considered as a reducing sugar.
We can draw the structure of lactose as follows:

Lactose is composed by the combination of a glucose and a galactose molecule. Lactose undergoes mutarotation and it is hence a reducing sugar.
Note:
Monosaccharides are considered as reducing sugars. Then sugar that cannot act as a reducing agent are non-reducing agents. Out of disaccharides, sucrose is a well-known non-reducing sugar.
Recently Updated Pages
JEE Isolation, Preparation and Properties of Non-metals Important Concepts and Tips for Exam Preparation

JEE Energetics Important Concepts and Tips for Exam Preparation

JEE Main 2022 (July 28th Shift 1) Physics Question Paper with Answer Key

JEE Main 2023 (January 29th Shift 2) Physics Question Paper with Answer Key

JEE Main 2022 (July 26th Shift 2) Maths Question Paper with Answer Key

JEE Main 2023 (January 25th Shift 1) Physics Question Paper with Answer Key

Trending doubts
JEE Main 2026: Application Form Open, Exam Dates, Syllabus, Eligibility & Question Papers

Equation of Trajectory in Projectile Motion: Derivation & Proof

JEE Main Correction Window 2026- Edit Form Details, Dates and Link

Atomic Structure: Definition, Models, and Examples

Angle of Deviation in a Prism – Formula, Diagram & Applications

Hybridisation in Chemistry – Concept, Types & Applications

Other Pages
NCERT Solutions For Class 12 Chemistry Chapter 1 Solutions - 2025-26

NCERT Solutions for Class 12 Chemistry Chapter Chapter 7 Alcohol Phenol and Ether

NCERT Solutions ForClass 12 Chemistry Chapter Chapter 8 Aldehydes Ketones And Carboxylic Acids

JEE Advanced Marks vs Ranks 2025: Understanding Category-wise Qualifying Marks and Previous Year Cut-offs

Haloalkanes and Haloarenes Class 12 Chemistry Chapter 6 CBSE Notes - 2025-26

Solutions Class 12 Chemistry Chapter 1 CBSE Notes - 2025-26

