
Rearrangement of an oxime to an amide in the presence of a strong acid is called
Answer
221.4k+ views
Hint: We know that,one example of functional group is imine whose formula is \[{\rm{C}} = {\rm{N}}\] .The oxime is an organic compound that belongs to the class of imines. The chemical formula to reprsent oxime is \[{{\rm{R}}_{\rm{1}}}{{\rm{R}}_2}{\rm{C}} = {\rm{NOH}}\] . Here, \[{{\rm{R}}_{\rm{1}}}\] indicates an alkyl group and \[{{\rm{R}}_2}\] represents a hydrogen atom.
Complete Step by Step Solution:
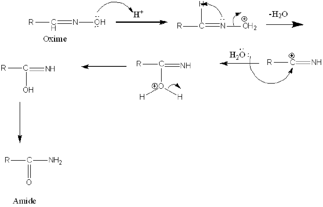
Let's understand what an amide is. An amide is a functional group of the formula \[{\rm{R}} - {\rm{CO}} - {\rm{N}}{{\rm{H}}_{\rm{2}}}\] . When a molecule of ammonia is added to a carboxylic acid, an amide is formed.
Let's understand the Beckmann rearrangement in detail. In this reaction, an oxime is converted into an amide in an acidic medium. Let's understand the mechanism of the reaction in detail.
In the first step, a proton is accepted by the oxygen atom of the oxime. Then, the water molecule separates and a proton is accepted by the nitrogen atom. In the third step, a nucleophilic attack of the Oxygen atom of the water molecule at the carbocation takes place. In the fourth step, deprotonation occurs and alcohol forms. In the last step, rearrangement of hydrogen atoms occurs which results in the formation of an amide.

Image: Beckmann Rearrangement
Hence, the rearrangement of an oxime to amide in an acidic medium is called Beckmann rearrangement.
Note: It is to be noted that, the imine functional group is considered a Schiff's base if the group bonded to the N atom is not an atom of Hydrogen. The preparation of imine is done by the reaction of a ketone, an aldehyde and hydroxylamine.
Complete Step by Step Solution:
Let's understand what an amide is. An amide is a functional group of the formula \[{\rm{R}} - {\rm{CO}} - {\rm{N}}{{\rm{H}}_{\rm{2}}}\] . When a molecule of ammonia is added to a carboxylic acid, an amide is formed.
Let's understand the Beckmann rearrangement in detail. In this reaction, an oxime is converted into an amide in an acidic medium. Let's understand the mechanism of the reaction in detail.
In the first step, a proton is accepted by the oxygen atom of the oxime. Then, the water molecule separates and a proton is accepted by the nitrogen atom. In the third step, a nucleophilic attack of the Oxygen atom of the water molecule at the carbocation takes place. In the fourth step, deprotonation occurs and alcohol forms. In the last step, rearrangement of hydrogen atoms occurs which results in the formation of an amide.

Image: Beckmann Rearrangement
Hence, the rearrangement of an oxime to amide in an acidic medium is called Beckmann rearrangement.
Note: It is to be noted that, the imine functional group is considered a Schiff's base if the group bonded to the N atom is not an atom of Hydrogen. The preparation of imine is done by the reaction of a ketone, an aldehyde and hydroxylamine.
Recently Updated Pages
Types of Solutions in Chemistry: Explained Simply

States of Matter Chapter For JEE Main Chemistry

Difference Between Alcohol and Phenol: Structure, Tests & Uses

Conduction Explained: Definition, Examples & Science for Students

Balancing of Redox Reactions - Important Concepts and Tips for JEE

Atomic Size - Important Concepts and Tips for JEE

Trending doubts
JEE Main 2026: Application Form Open, Exam Dates, Syllabus, Eligibility & Question Papers

Derivation of Equation of Trajectory Explained for Students

Hybridisation in Chemistry – Concept, Types & Applications

Understanding the Angle of Deviation in a Prism

How to Convert a Galvanometer into an Ammeter or Voltmeter

Degree of Dissociation: Meaning, Formula, Calculation & Uses

Other Pages
Solutions Class 12 Chemistry Chapter 1 CBSE Notes - 2025-26

NCERT Solutions For Class 12 Chemistry Chapter 1 Solutions - 2025-26

The D and F Block Elements Class 12 Chemistry Chapter 4 CBSE Notes - 2025-26

NCERT Solutions for Class 12 Chemistry Chapter Chapter 7 Alcohol Phenol and Ether

NCERT Solutions ForClass 12 Chemistry Chapter Chapter 8 Aldehydes Ketones And Carboxylic Acids

JEE Advanced Marks vs Ranks 2025: Understanding Category-wise Qualifying Marks and Previous Year Cut-offs

