
Phenolphthalein gives which of the following colours in basic salt?
(A) Blue
(B) Red
(C) Pink
(D) Purple
Answer
225.3k+ views
Hint: In the presence of acidic medium, phenolphthalein has a structure that does not impart any colour properties to the solution. The colour of phenolphthalein in basic medium is not a primary colour.
Step by step answer:
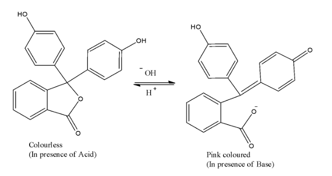
First of all, let’s get basic information about phenolphthalein. Phenolphthalein has a formula of ${{C}_{20}}{{H}_{14}}{{O}_{4}}$ . We should know that it is an organic compound of the phthalein family that is widely used as an acid-base indicator.

- The above structure is of phenolphthalein in both acidic medium and in basic medium.
- Phenolphthalein is primarily used as an indicator. It is used as an indicator in acid base titrations. When we add phenolphthalein in aqueous solution, it adopts at least four different states in aqueous solution as a result of pH changes.
- When we add phenolphthalein in acidic solution it exists in protonated form as shown in the reaction providing a colourless solution and when the solution turns basic in nature, the proton gets removed and a salt gets formed. This salt is a coloured one and we can see the solution turning pink due to this.
- So, we can say that phenolphthalein will give pink colour as a basic solution. And in the acidic solution, it will turn colourless.
- Thus, from the above discussion we can say that phenolphthalein will give pink colour in basic solution.
So, the correct option is C.
Note: Remember that in the basic medium, only one proton of phenolphthalein gets removed and results in a salt. So, two protons do not get removed in presence of basic medium even though there are similar two acidic protons are present in the phenolphthalein.
Step by step answer:
First of all, let’s get basic information about phenolphthalein. Phenolphthalein has a formula of ${{C}_{20}}{{H}_{14}}{{O}_{4}}$ . We should know that it is an organic compound of the phthalein family that is widely used as an acid-base indicator.

- The above structure is of phenolphthalein in both acidic medium and in basic medium.
- Phenolphthalein is primarily used as an indicator. It is used as an indicator in acid base titrations. When we add phenolphthalein in aqueous solution, it adopts at least four different states in aqueous solution as a result of pH changes.
- When we add phenolphthalein in acidic solution it exists in protonated form as shown in the reaction providing a colourless solution and when the solution turns basic in nature, the proton gets removed and a salt gets formed. This salt is a coloured one and we can see the solution turning pink due to this.
- So, we can say that phenolphthalein will give pink colour as a basic solution. And in the acidic solution, it will turn colourless.
- Thus, from the above discussion we can say that phenolphthalein will give pink colour in basic solution.
So, the correct option is C.
Note: Remember that in the basic medium, only one proton of phenolphthalein gets removed and results in a salt. So, two protons do not get removed in presence of basic medium even though there are similar two acidic protons are present in the phenolphthalein.
Recently Updated Pages
JEE Main 2026 Session 1 Correction Window Started: Check Dates, Edit Link & Fees

JEE Isolation, Preparation and Properties of Non-metals Important Concepts and Tips for Exam Preparation

Isoelectronic Definition in Chemistry: Meaning, Examples & Trends

Ionisation Energy and Ionisation Potential Explained

Iodoform Reactions - Important Concepts and Tips for JEE

Introduction to Dimensions: Understanding the Basics

Trending doubts
JEE Main 2026: City Intimation Slip and Exam Dates Released, Application Form Closed, Syllabus & Eligibility

JEE Main 2026 Application Login: Direct Link, Registration, Form Fill, and Steps

Understanding the Angle of Deviation in a Prism

Hybridisation in Chemistry – Concept, Types & Applications

How to Convert a Galvanometer into an Ammeter or Voltmeter

Ideal and Non-Ideal Solutions Explained for Class 12 Chemistry

Other Pages
JEE Advanced Marks vs Ranks 2025: Understanding Category-wise Qualifying Marks and Previous Year Cut-offs

Thermodynamics Class 11 Chemistry Chapter 5 CBSE Notes - 2025-26

Organic Chemistry Some Basic Principles And Techniques Class 11 Chemistry Chapter 8 CBSE Notes - 2025-26

Hydrocarbons Class 11 Chemistry Chapter 9 CBSE Notes - 2025-26

JEE Advanced 2026 - Exam Date (Released), Syllabus, Registration, Eligibility, Preparation, and More

JEE Advanced 2026 - Exam Date (Released), Syllabus, Registration, Eligibility, Preparation, and More

