
Peroxy linkage is present in:
(A) Caro’s acid
(B) Pyrosulfuric acid
(C) Sulfurous acid
(D) Dithionic acid
Answer
225.9k+ views
Hint: If the compound has two oxygen atoms bonded by a single bond, then the compound has a peroxy linkage. The Peroxy linkage is represented as $-O-O-$.
Complete step by step solution:
If the compound has two oxygen atoms bonded by a single bond, then the compound has peroxy linkage. The Peroxy linkage is represented as $-O-O-$.
So, let us see the structures of all the options one by one:
(A)- Caro’s acid: Caro’s acid is also known as Peroxomonosulfuric acid. This is an oxoacid of the sulfur element. The formula of Caro's acid is ${{H}_{2}}S{{O}_{5}}$. The structure of Caro’s acid is given below:

This compound has one peroxy linkage.
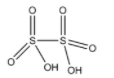
(B)- Pyrosulfuric acid: Pyrosulfuric acid is also known as oleum. It is also an oxoacid of the sulfur element. The formula of Pyrosulfuric acid is ${{H}_{2}}{{S}_{2}}{{O}_{7}}$. The structure of Pyrosulfuric acid is given below:

This compound doesn’t have a peroxy linkage.
(C)- Sulfurous acid: Sulfurous acid is an element that has a lone pair on the sulfur element. It is also an oxoacid of the sulfur element. The formula of Sulfurous acid is ${{H}_{2}}S{{O}_{3}}$. The structure of Sulfurous acid is given below:

This compound doesn’t have a peroxy linkage.
(D)- Dithionic acid: Dithionic acid is an oxoacid of the sulfur element. The formula of Dithionic acid is ${{H}_{2}}{{S}_{2}}{{O}_{6}}$. The structure of Dithionic acid is given below:

This compound doesn’t have a peroxy linkage.
Therefore, the correct answer is an option (a)- Caro’s acid.
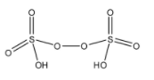
Note: Marshall’s acid or Peroxodisulfuric acid is also an oxoacid of the sulfur element. The formula of Marshall's acid is ${{H}_{2}}{{S}_{2}}{{O}_{8}}$. Other than Caro’s acid, Marshall’s acid is the compound of sulfur which has peroxy linkage. The structure is given below:

Complete step by step solution:
If the compound has two oxygen atoms bonded by a single bond, then the compound has peroxy linkage. The Peroxy linkage is represented as $-O-O-$.
So, let us see the structures of all the options one by one:
(A)- Caro’s acid: Caro’s acid is also known as Peroxomonosulfuric acid. This is an oxoacid of the sulfur element. The formula of Caro's acid is ${{H}_{2}}S{{O}_{5}}$. The structure of Caro’s acid is given below:

This compound has one peroxy linkage.
(B)- Pyrosulfuric acid: Pyrosulfuric acid is also known as oleum. It is also an oxoacid of the sulfur element. The formula of Pyrosulfuric acid is ${{H}_{2}}{{S}_{2}}{{O}_{7}}$. The structure of Pyrosulfuric acid is given below:

This compound doesn’t have a peroxy linkage.
(C)- Sulfurous acid: Sulfurous acid is an element that has a lone pair on the sulfur element. It is also an oxoacid of the sulfur element. The formula of Sulfurous acid is ${{H}_{2}}S{{O}_{3}}$. The structure of Sulfurous acid is given below:

This compound doesn’t have a peroxy linkage.
(D)- Dithionic acid: Dithionic acid is an oxoacid of the sulfur element. The formula of Dithionic acid is ${{H}_{2}}{{S}_{2}}{{O}_{6}}$. The structure of Dithionic acid is given below:

This compound doesn’t have a peroxy linkage.
Therefore, the correct answer is an option (a)- Caro’s acid.
Note: Marshall’s acid or Peroxodisulfuric acid is also an oxoacid of the sulfur element. The formula of Marshall's acid is ${{H}_{2}}{{S}_{2}}{{O}_{8}}$. Other than Caro’s acid, Marshall’s acid is the compound of sulfur which has peroxy linkage. The structure is given below:

Recently Updated Pages
JEE Main 2026 Session 1 Correction Window Started: Check Dates, Edit Link & Fees

JEE Isolation, Preparation and Properties of Non-metals Important Concepts and Tips for Exam Preparation

Isoelectronic Definition in Chemistry: Meaning, Examples & Trends

Ionisation Energy and Ionisation Potential Explained

Iodoform Reactions - Important Concepts and Tips for JEE

Introduction to Dimensions: Understanding the Basics

Trending doubts
JEE Main 2026: City Intimation Slip and Exam Dates Released, Application Form Closed, Syllabus & Eligibility

JEE Main 2026 Application Login: Direct Link, Registration, Form Fill, and Steps

Understanding the Angle of Deviation in a Prism

Hybridisation in Chemistry – Concept, Types & Applications

How to Convert a Galvanometer into an Ammeter or Voltmeter

Ideal and Non-Ideal Solutions Explained for Class 12 Chemistry

Other Pages
JEE Advanced Marks vs Ranks 2025: Understanding Category-wise Qualifying Marks and Previous Year Cut-offs

Thermodynamics Class 11 Chemistry Chapter 5 CBSE Notes - 2025-26

Hydrocarbons Class 11 Chemistry Chapter 9 CBSE Notes - 2025-26

Organic Chemistry Some Basic Principles And Techniques Class 11 Chemistry Chapter 8 CBSE Notes - 2025-26

JEE Advanced 2026 - Exam Date (Released), Syllabus, Registration, Eligibility, Preparation, and More

JEE Advanced 2026 - Exam Date (Released), Syllabus, Registration, Eligibility, Preparation, and More

