
\[PC{l_5}\] reacts with propanone, to give
A. Vicinal dichloride
B. Propanal
C. propane chloride
D. Gem-dichloride
Answer
213.6k+ views
Hint: Phosphorus pentachloride is the name of the chemical compound PCl₅. It is a significant phosphorus chloride and is used as a chlorinating reagent. When this compound is treated with ketones, chlorination transpires at the carbonyl carbon.
Complete Step by Step Solution:
Phosphorus pentachloride is the chemical compound possessing the formula PCl5.
It is one of the considerably crucial phosphorus chlorides alongside\[PC{l_3}\] and\[POC{l_3}\].
\[PC{l_5}\] is utilised as a chlorinating reagent.
It has no colour and is sensitive to moisture and water.
Its structure is as follows:

Image: Structure of phosphorus pentachloride
When it reacts with carbonyl groups like in ketones it leads to the conversion of C=O groups to \[CC{l_2}\]groups.
So, when it reacts with propanone it converts the C=O group to the CCl2 group.
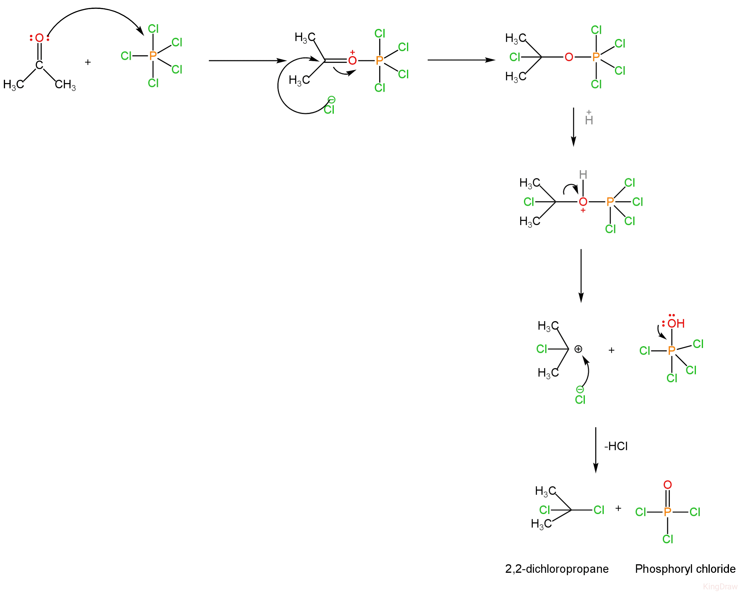
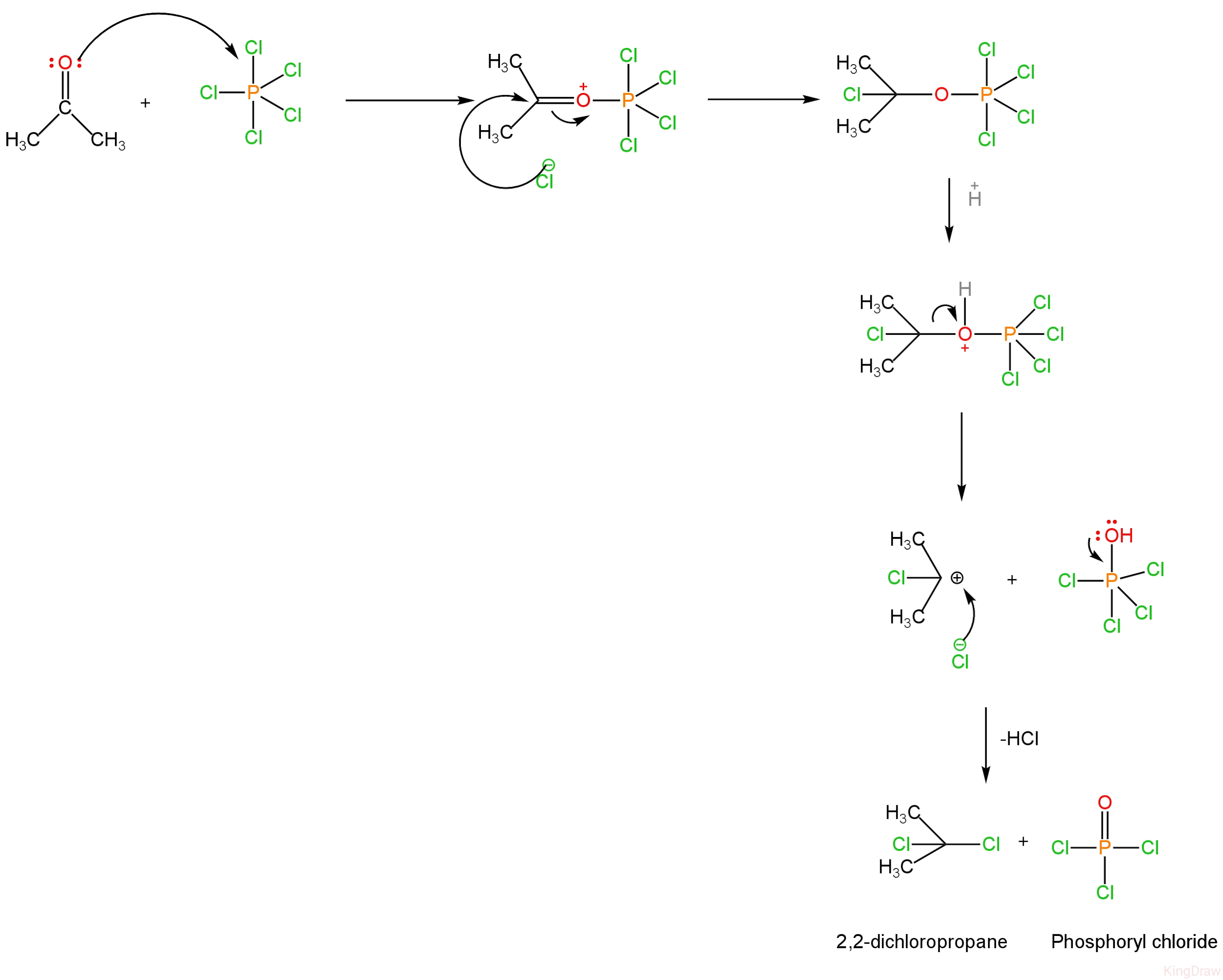
Mechanism
1. The lone pair of oxygen in the carbonyl group attacks the phosphorus atom present in phosphorus pentachloride leading to the formation of a complex.
2. The complex formed when treated with a proton leads to the breaking of the carbon and oxygen bond. A carbocation is formed.
3. Carbocation is attacked by chloride ions present in the medium forming 2,2-dichloropropane and Phosphoryl chloride along with it which is a side product.

Image: Mechanism of chlorination of propanone.
As we know, 2,2-dichloropropane is a gem-dichloride. So, D is correct.
So, option D is correct.
Note: Phosphorus pentachloride also transforms alcohols into alkyl chlorides. This reaction is used in the preparation of alkyl chlorides. But thionyl chloride is more generally utilised in the laboratory as the resultant sulphur dioxide is a gas, and hence is more effortlessly isolated from the organic products than \[POC{l_3}\].
Complete Step by Step Solution:
Phosphorus pentachloride is the chemical compound possessing the formula PCl5.
It is one of the considerably crucial phosphorus chlorides alongside\[PC{l_3}\] and\[POC{l_3}\].
\[PC{l_5}\] is utilised as a chlorinating reagent.
It has no colour and is sensitive to moisture and water.
Its structure is as follows:

Image: Structure of phosphorus pentachloride
When it reacts with carbonyl groups like in ketones it leads to the conversion of C=O groups to \[CC{l_2}\]groups.
So, when it reacts with propanone it converts the C=O group to the CCl2 group.
Mechanism
1. The lone pair of oxygen in the carbonyl group attacks the phosphorus atom present in phosphorus pentachloride leading to the formation of a complex.
2. The complex formed when treated with a proton leads to the breaking of the carbon and oxygen bond. A carbocation is formed.
3. Carbocation is attacked by chloride ions present in the medium forming 2,2-dichloropropane and Phosphoryl chloride along with it which is a side product.

Image: Mechanism of chlorination of propanone.
As we know, 2,2-dichloropropane is a gem-dichloride. So, D is correct.
So, option D is correct.
Note: Phosphorus pentachloride also transforms alcohols into alkyl chlorides. This reaction is used in the preparation of alkyl chlorides. But thionyl chloride is more generally utilised in the laboratory as the resultant sulphur dioxide is a gas, and hence is more effortlessly isolated from the organic products than \[POC{l_3}\].
Recently Updated Pages
Chemical Equation - Important Concepts and Tips for JEE

JEE Main 2022 (July 29th Shift 1) Chemistry Question Paper with Answer Key

Conduction, Transfer of Energy Important Concepts and Tips for JEE

JEE Analytical Method of Vector Addition Important Concepts and Tips

Atomic Size - Important Concepts and Tips for JEE

JEE Main 2022 (June 29th Shift 1) Maths Question Paper with Answer Key

Trending doubts
JEE Main 2026: Application Form Open, Exam Dates, Syllabus, Eligibility & Question Papers

JEE Main Correction Window 2026 Session 1 Dates Announced - Edit Form Details, Dates and Link

Equation of Trajectory in Projectile Motion: Derivation & Proof

JEE Main 2026 Application Login: Direct Link, Registration, Form Fill, and Steps

Hybridisation in Chemistry – Concept, Types & Applications

Angle of Deviation in a Prism – Formula, Diagram & Applications

Other Pages
NCERT Solutions For Class 12 Chemistry Chapter 1 Solutions - 2025-26

NCERT Solutions for Class 12 Chemistry Chapter Chapter 7 Alcohol Phenol and Ether

NCERT Solutions ForClass 12 Chemistry Chapter Chapter 8 Aldehydes Ketones And Carboxylic Acids

JEE Advanced Marks vs Ranks 2025: Understanding Category-wise Qualifying Marks and Previous Year Cut-offs

Haloalkanes and Haloarenes Class 12 Chemistry Chapter 6 CBSE Notes - 2025-26

Solutions Class 12 Chemistry Chapter 1 CBSE Notes - 2025-26

