
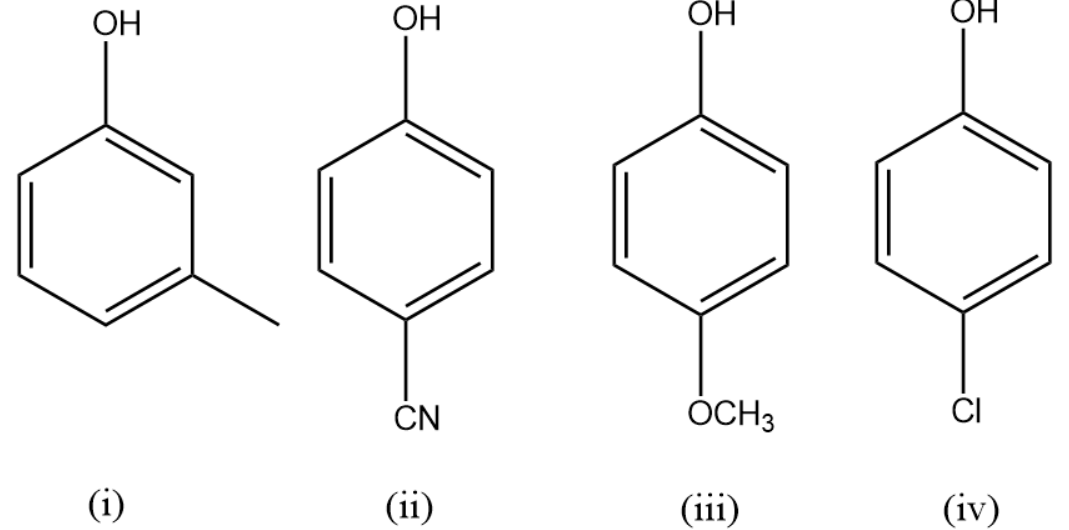
Increase order of acidic strength of given compounds is :

(A) (ii) < (i) < (iv) < (iii)
(B) (i) < (iii) < (iv) < (ii)
(C) (i) < (iii) < (ii) < (iv)
(D) (iii) < (i) < (iv) < (ii)
Answer
221.1k+ views
Hint: The four organic compounds have the hydroxyl group in common. The acidic strength of the compounds can be determined by the stability of the conjugate base formed. Only when the conjugate base formed is stable, the hydrogen ion will be released easily. The groups attached will contribute to either stabilizing or destabilizing the negative charge after deprotonation.
Complete step by step solution:
Electronic factors are the factor that influences carious organic reactions and rearrangements. Electronic effects are significantly observed in organic aromatic compounds.
Electronic factors are:
- Inductive effect
- Resonance
- Mesomeric effect
- Electromeric effect
- Hyperconjugation.
We will now identify at which position of the aromatic ring, the following effect is observed.

In the above compound,
- o stands for ortho-position
- m stands for meta-position
- p stands for para-position
In compound (i) the anion of the compound or the conjugate base is destabilised only by inductive effect as the methyl group is attached at the meta position.
In compound (ii) the conjugate base is stabilised by the cyanide or nitrile group attached at the para position as it withdraws electrons from the benzene ring
In compound (iii) the conjugate base is destabilised by the ether group attached at para-position as the oxygen atom increases electron density in the ring making it unstable.
In compound (iv) the conjugate base is mildly stabilised by the halogen atom attached at the para position.
Therefore, the increasing order of acidic strength of the given compounds is (iii) < (i) < (iv) < (ii).
The correct answer is option (D).
Note: Resonance effect is mainly observed in the ortho and para position of the aromatic ring and the only significant electronic effect observed at meta position is the inductive effect. Resonance has much more priority than inductive effect while determining the acidic strength of phenols or carboxylic acids.
Complete step by step solution:
Electronic factors are the factor that influences carious organic reactions and rearrangements. Electronic effects are significantly observed in organic aromatic compounds.
Electronic factors are:
- Inductive effect
- Resonance
- Mesomeric effect
- Electromeric effect
- Hyperconjugation.
We will now identify at which position of the aromatic ring, the following effect is observed.

In the above compound,
- o stands for ortho-position
- m stands for meta-position
- p stands for para-position
In compound (i) the anion of the compound or the conjugate base is destabilised only by inductive effect as the methyl group is attached at the meta position.
In compound (ii) the conjugate base is stabilised by the cyanide or nitrile group attached at the para position as it withdraws electrons from the benzene ring
In compound (iii) the conjugate base is destabilised by the ether group attached at para-position as the oxygen atom increases electron density in the ring making it unstable.
In compound (iv) the conjugate base is mildly stabilised by the halogen atom attached at the para position.
Therefore, the increasing order of acidic strength of the given compounds is (iii) < (i) < (iv) < (ii).
The correct answer is option (D).
Note: Resonance effect is mainly observed in the ortho and para position of the aromatic ring and the only significant electronic effect observed at meta position is the inductive effect. Resonance has much more priority than inductive effect while determining the acidic strength of phenols or carboxylic acids.
Recently Updated Pages
The hybridization and shape of NH2 ion are a sp2 and class 11 chemistry JEE_Main

What is the pH of 001 M solution of HCl a 1 b 10 c class 11 chemistry JEE_Main

Aromatization of nhexane gives A Benzene B Toluene class 11 chemistry JEE_Main

Show how you will synthesise i 1Phenylethanol from class 11 chemistry JEE_Main

The enolic form of acetone contains a 10sigma bonds class 11 chemistry JEE_Main

Which of the following Compounds does not exhibit tautomerism class 11 chemistry JEE_Main

Trending doubts
JEE Main 2026: Application Form Open, Exam Dates, Syllabus, Eligibility & Question Papers

Derivation of Equation of Trajectory Explained for Students

Hybridisation in Chemistry – Concept, Types & Applications

Understanding the Angle of Deviation in a Prism

How to Convert a Galvanometer into an Ammeter or Voltmeter

Degree of Dissociation: Meaning, Formula, Calculation & Uses

Other Pages
NCERT Solutions For Class 11 Chemistry Chapter 7 Redox Reaction

JEE Advanced Marks vs Ranks 2025: Understanding Category-wise Qualifying Marks and Previous Year Cut-offs

Hydrocarbons Class 11 Chemistry Chapter 9 CBSE Notes - 2025-26

Thermodynamics Class 11 Chemistry Chapter 5 CBSE Notes - 2025-26

NCERT Solutions ForClass 11 Chemistry Chapter Chapter 5 Thermodynamics

Equilibrium Class 11 Chemistry Chapter 6 CBSE Notes - 2025-26

