
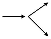
In the diagrams given below, the horizontal line represents the path of a ball coming from left and hitting another ball which is initially at rest. The other lines represent the path of the two balls after the collision. Which of the diagrams shows a physically impossible situation?
A)

B)
C)
D)
Answer
217.8k+ views
Hint: Here, we have to apply the law of conservation of momentum. In the subject of Physics, there are several quantities that are conserved.
Conserved quantity is a function of the dependent variables in a dynamically changing system whose value remains equal along the entire phase and the path that the system undergoes. Examples of the conserved quantities are mass, charge, energy, and momentum.
Complete step by step answer:
The momentum is defined as the product of mass and the velocity of the body.
Momentum, $p = mv$
where m = mass and v = velocity.
However, this is only the mathematical definition. The momentum of a body represents the effect or impact that it possesses by the virtue of its mass and the velocity at which it is moving. We can understand that momentum represents the consequence of the body moving.
Since, we have seen that the quantity momentum is conserved here, let us understand the law of conservation of momentum.
It states that, In the collision of two elastic bodies, the total momentum of the system before the collision is equal to the total momentum after the collision after the collision has happened.
Consider 2 bodies – object 1 and object 2 of masses ${m_1}$and ${m_2}$ respectively, moving towards each other at initial velocity of ${v_1}\& {v_2}$ respectively and collide. After collision, their new masses are ${M_1}\& {M_2}$ and their new velocities are ${V_1}\& {V_2}$.
Initial momentum, $p = {m_1}{v_1} + {m_2}{v_2}$
Final momentum after collision, $P = {M_1}{V_1} + {M_2}{V_2}$
As per the conservation of momentum,
$p = P$
$ \Rightarrow {m_1}{v_1} + {m_2}{v_2} = {M_1}{V_1} + {M_2}{V_2}$
In the question, the second object that is collided with, is at rest initially. This means that, ${v_2} = 0$
So, we have the equation as –
${m_1}{v_1} = {M_1}{V_1} + {M_2}{V_2}$
This equation implies that the initial momentum gets divided into two parts after the collision, namely,
$ \Rightarrow p = {p_1} + {p_2}$
In all the four options, the values of $p$, ${p_1}$ and ${p_2}$ are entirely different except Option C, where –
$ \Rightarrow p = {p_1}$
If we substitute that in the answer, we obtain the result,
$ \Rightarrow {p_2} = 0$
This is impossible since the other portion of the momentum ${p_2}$ exists and is a finite positive number.
Therefore, it is impossible for any portion of the body to maintain its original momentum or velocity after the collision. There is a change in direction in velocity in both of the portions when collision happens.
Hence, the correct option is Option C.
Note: In this problem, we have assumed the case of elastic collision. Elastic collision is the type of collision where the total energy of the system before the collision remains the same after the collision. However, it is not practical in real life to have elastic collisions. There is always loss of energy in the system due to collisions which come out in the form of sound, heat, light and so on. This is why, one of the most major consequences of a collision is the loud sound that it produces.
Conserved quantity is a function of the dependent variables in a dynamically changing system whose value remains equal along the entire phase and the path that the system undergoes. Examples of the conserved quantities are mass, charge, energy, and momentum.
Complete step by step answer:
The momentum is defined as the product of mass and the velocity of the body.
Momentum, $p = mv$
where m = mass and v = velocity.
However, this is only the mathematical definition. The momentum of a body represents the effect or impact that it possesses by the virtue of its mass and the velocity at which it is moving. We can understand that momentum represents the consequence of the body moving.
Since, we have seen that the quantity momentum is conserved here, let us understand the law of conservation of momentum.
It states that, In the collision of two elastic bodies, the total momentum of the system before the collision is equal to the total momentum after the collision after the collision has happened.
Consider 2 bodies – object 1 and object 2 of masses ${m_1}$and ${m_2}$ respectively, moving towards each other at initial velocity of ${v_1}\& {v_2}$ respectively and collide. After collision, their new masses are ${M_1}\& {M_2}$ and their new velocities are ${V_1}\& {V_2}$.
Initial momentum, $p = {m_1}{v_1} + {m_2}{v_2}$
Final momentum after collision, $P = {M_1}{V_1} + {M_2}{V_2}$
As per the conservation of momentum,
$p = P$
$ \Rightarrow {m_1}{v_1} + {m_2}{v_2} = {M_1}{V_1} + {M_2}{V_2}$
In the question, the second object that is collided with, is at rest initially. This means that, ${v_2} = 0$
So, we have the equation as –
${m_1}{v_1} = {M_1}{V_1} + {M_2}{V_2}$
This equation implies that the initial momentum gets divided into two parts after the collision, namely,
$ \Rightarrow p = {p_1} + {p_2}$
In all the four options, the values of $p$, ${p_1}$ and ${p_2}$ are entirely different except Option C, where –
$ \Rightarrow p = {p_1}$
If we substitute that in the answer, we obtain the result,
$ \Rightarrow {p_2} = 0$
This is impossible since the other portion of the momentum ${p_2}$ exists and is a finite positive number.
Therefore, it is impossible for any portion of the body to maintain its original momentum or velocity after the collision. There is a change in direction in velocity in both of the portions when collision happens.
Hence, the correct option is Option C.
Note: In this problem, we have assumed the case of elastic collision. Elastic collision is the type of collision where the total energy of the system before the collision remains the same after the collision. However, it is not practical in real life to have elastic collisions. There is always loss of energy in the system due to collisions which come out in the form of sound, heat, light and so on. This is why, one of the most major consequences of a collision is the loud sound that it produces.
Recently Updated Pages
Elastic Collision in Two Dimensions Explained Simply

Elastic Collisions in One Dimension Explained

Electric Field Due to a Uniformly Charged Ring Explained

Electric Field of Infinite Line Charge and Cylinders Explained

Electric Flux and Area Vector Explained Simply

Electric Field of a Charged Spherical Shell Explained

Trending doubts
JEE Main 2026: Application Form Open, Exam Dates, Syllabus, Eligibility & Question Papers

Derivation of Equation of Trajectory Explained for Students

Hybridisation in Chemistry – Concept, Types & Applications

Understanding the Angle of Deviation in a Prism

Understanding Collisions: Types and Examples for Students

How to Convert a Galvanometer into an Ammeter or Voltmeter

Other Pages
JEE Advanced Marks vs Ranks 2025: Understanding Category-wise Qualifying Marks and Previous Year Cut-offs

Units And Measurements Class 11 Physics Chapter 1 CBSE Notes - 2025-26

NCERT Solutions For Class 11 Physics Chapter 8 Mechanical Properties Of Solids

Motion in a Straight Line Class 11 Physics Chapter 2 CBSE Notes - 2025-26

NCERT Solutions for Class 11 Physics Chapter 7 Gravitation 2025-26

Understanding Atomic Structure for Beginners

