
In esterification, hydroxide ion for making water comes from
A. Acids
B. Alcohols
C. Ketone
D. Carbohydrate
Answer
232.5k+ views
Hint: Esterification is the reaction of carboxylic acids and alcohols in the presence of an acid catalyst like concentrated sulfuric acid or dry hydrochloric acid resulting in the formation of esters. Esters possess an aromatic sweet smell.
Complete Step by Step Solution:
Carboxylic acids and alcohols react to form esters.
This reaction happens in the catalyst by an acid like concentrated sulfuric acid or dry hydrochloric gas etc.
The fulfilment of the reaction is depicted by the evolution of sweet or fruity-smelling esters.
This reaction is called the esterification reaction.
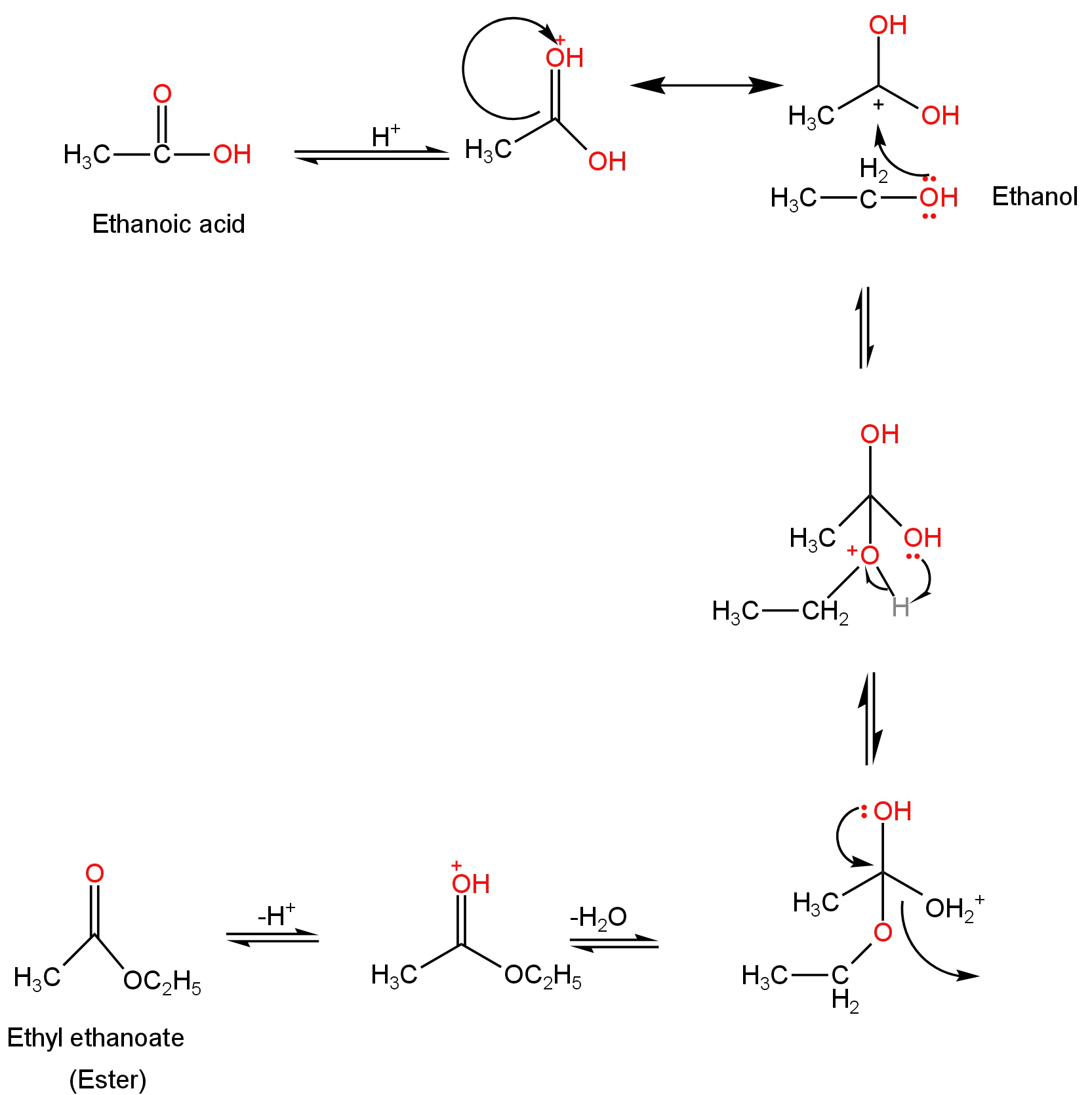
The mechanism of the reaction is as follows:

Image: Esterification mechanism
The first step involves the protonation of carboxylic acid.
The second step involves the attack of the lone pair present on ethyl alcohol on the carbonyl carbon of acetic acid.
The third step involves the losing water molecule from the resulting product.
The fourth step involves the loss of proton giving rise to the ester.
From the mechanism, we can see that the hydroxide ion comes from carboxylic acids.
So, option A is correct.
Additional Information: An ester possesses a nice odour. They are utilised in the scent and food items business. These are organic compounds we receive in fats and oils.
Note: Esters are formed from the treatment of carboxylic acids with alcohols. Esters are aromatic compounds and thus are highly effective in scents, makeup products, and food flavors. They are effective as an organic solvent also. They are effective in the generation of soaps and detergents.
Complete Step by Step Solution:
Carboxylic acids and alcohols react to form esters.
This reaction happens in the catalyst by an acid like concentrated sulfuric acid or dry hydrochloric gas etc.
The fulfilment of the reaction is depicted by the evolution of sweet or fruity-smelling esters.
This reaction is called the esterification reaction.
The mechanism of the reaction is as follows:

Image: Esterification mechanism
The first step involves the protonation of carboxylic acid.
The second step involves the attack of the lone pair present on ethyl alcohol on the carbonyl carbon of acetic acid.
The third step involves the losing water molecule from the resulting product.
The fourth step involves the loss of proton giving rise to the ester.
From the mechanism, we can see that the hydroxide ion comes from carboxylic acids.
So, option A is correct.
Additional Information: An ester possesses a nice odour. They are utilised in the scent and food items business. These are organic compounds we receive in fats and oils.
Note: Esters are formed from the treatment of carboxylic acids with alcohols. Esters are aromatic compounds and thus are highly effective in scents, makeup products, and food flavors. They are effective as an organic solvent also. They are effective in the generation of soaps and detergents.
Recently Updated Pages
JEE Main 2023 April 6 Shift 1 Question Paper with Answer Key

JEE Main 2023 April 6 Shift 2 Question Paper with Answer Key

JEE Main 2023 (January 31 Evening Shift) Question Paper with Solutions [PDF]

JEE Main 2023 January 30 Shift 2 Question Paper with Answer Key

JEE Main 2023 January 25 Shift 1 Question Paper with Answer Key

JEE Main 2023 January 24 Shift 2 Question Paper with Answer Key

Trending doubts
JEE Main 2026: Session 2 Registration Open, City Intimation Slip, Exam Dates, Syllabus & Eligibility

JEE Main 2026 Application Login: Direct Link, Registration, Form Fill, and Steps

JEE Main Marking Scheme 2026- Paper-Wise Marks Distribution and Negative Marking Details

Understanding the Angle of Deviation in a Prism

Hybridisation in Chemistry – Concept, Types & Applications

How to Convert a Galvanometer into an Ammeter or Voltmeter

Other Pages
JEE Advanced Marks vs Ranks 2025: Understanding Category-wise Qualifying Marks and Previous Year Cut-offs

NCERT Solutions For Class 12 Chemistry Chapter 1 Solutions (2025-26)

Solutions Class 12 Chemistry Chapter 1 CBSE Notes - 2025-26

NCERT Solutions For Class 12 Chemistry Chapter 4 The d and f Block Elements (2025-26)

Biomolecules Class 12 Chemistry Chapter 10 CBSE Notes - 2025-26

NCERT Solutions For Class 12 Chemistry Chapter 10 Biomolecules (2025-26)

