
IIdentify the product in following order
$3,4,5 - Tribromoaniline \xrightarrow[\left ( ii \right )H_3PO_4]{\left ( i \right )Diazotisation}$?
A. 3,4,5-Tribromobenzene
B. 1,2,3-Tribromobenzene
C. 2,4,6-Tribromobenzene
D. 3,4,5-Tribromo nitro benzene
E. 3,4,5-Tribromo phenol
Answer
213.9k+ views
Hint: 3,4,5-Tribromoaniline is a compound containing primary aromatic amine with three bromine groups at 3, 4 and 5 positions of aniline. Here in the first step diazotization is performed and then acid is given which will provide its proton in the reaction. Diazotization reaction is a type of coupling reaction for primary amine compounds.
Complete Step by Step Solution:
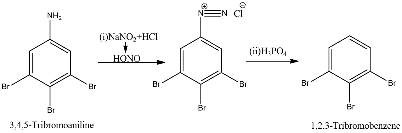
In the first step, a diazotisation reaction will take place where sodium nitrite and hydrochloric acid at \[{0^ \circ }\]C condition react to give nitrous acid, \[HONO\] which attacks the primary aromatic amine to give diazonium salt i.e., 3,4,5-Tribromobenzene diazonium salt. This then reacts with hypo phosphorus acid reagent which gives its hydrogen to the carbon of benzene ring where diazonium group is attached. So, from the final product nitrogen group is removed and hydrogen is present in its place. The name of the final compound is 1,2,3-tribromobenzene which is option B.

Image: Diazotisation reaction and further treatment with acid of 3,4,5-Tribromoaniline.
So, option B is correct. 2
Note: Ethanimine are the organic compounds having imine functional group i.e.,\[ - C = N - \]. This reacts with water and forms a compound containing a carbonyl functional group such as ketone or aldehyde. In this question acetonitrile is given so it forms acetaldehyde. Here, the overall number of carbons remains the same.
Complete Step by Step Solution:
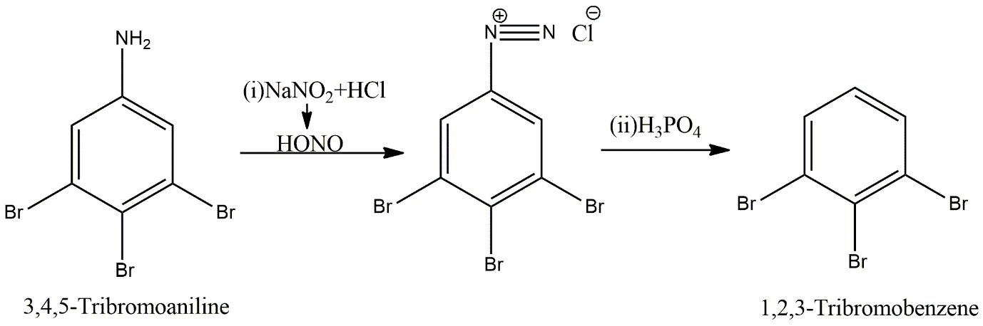
In the first step, a diazotisation reaction will take place where sodium nitrite and hydrochloric acid at \[{0^ \circ }\]C condition react to give nitrous acid, \[HONO\] which attacks the primary aromatic amine to give diazonium salt i.e., 3,4,5-Tribromobenzene diazonium salt. This then reacts with hypo phosphorus acid reagent which gives its hydrogen to the carbon of benzene ring where diazonium group is attached. So, from the final product nitrogen group is removed and hydrogen is present in its place. The name of the final compound is 1,2,3-tribromobenzene which is option B.

Image: Diazotisation reaction and further treatment with acid of 3,4,5-Tribromoaniline.
So, option B is correct. 2
Note: Ethanimine are the organic compounds having imine functional group i.e.,\[ - C = N - \]. This reacts with water and forms a compound containing a carbonyl functional group such as ketone or aldehyde. In this question acetonitrile is given so it forms acetaldehyde. Here, the overall number of carbons remains the same.
Recently Updated Pages
Chemical Equation - Important Concepts and Tips for JEE

JEE Main 2022 (July 29th Shift 1) Chemistry Question Paper with Answer Key

Conduction, Transfer of Energy Important Concepts and Tips for JEE

JEE Analytical Method of Vector Addition Important Concepts and Tips

Atomic Size - Important Concepts and Tips for JEE

JEE Main 2022 (June 29th Shift 1) Maths Question Paper with Answer Key

Trending doubts
JEE Main 2026: Application Form Open, Exam Dates, Syllabus, Eligibility & Question Papers

JEE Main Correction Window 2026 Session 1 Dates Announced - Edit Form Details, Dates and Link

Equation of Trajectory in Projectile Motion: Derivation & Proof

JEE Main 2026 Application Login: Direct Link, Registration, Form Fill, and Steps

Hybridisation in Chemistry – Concept, Types & Applications

Angle of Deviation in a Prism – Formula, Diagram & Applications

Other Pages
NCERT Solutions For Class 12 Chemistry Chapter 1 Solutions - 2025-26

NCERT Solutions for Class 12 Chemistry Chapter Chapter 7 Alcohol Phenol and Ether

NCERT Solutions ForClass 12 Chemistry Chapter Chapter 8 Aldehydes Ketones And Carboxylic Acids

JEE Advanced Marks vs Ranks 2025: Understanding Category-wise Qualifying Marks and Previous Year Cut-offs

Haloalkanes and Haloarenes Class 12 Chemistry Chapter 6 CBSE Notes - 2025-26

Solutions Class 12 Chemistry Chapter 1 CBSE Notes - 2025-26

