
Among the following which one does not act as an intermediate in Hofmann rearrangement?
A. RNCO
B. RCON
C. RCONHBr
D. RNC
Answer
221.1k+ views
Hint: Hofmann rearrangement also called Hofmann degradation is a rearrangement reaction of primary amides with bromine and aqueous or alcoholic potassium hydroxide to give primary amines. Overall, in the end, the carbonyl group get removed from the product.
Complete Step by Step Solution:
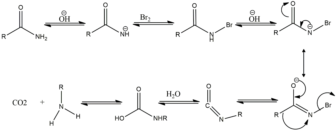
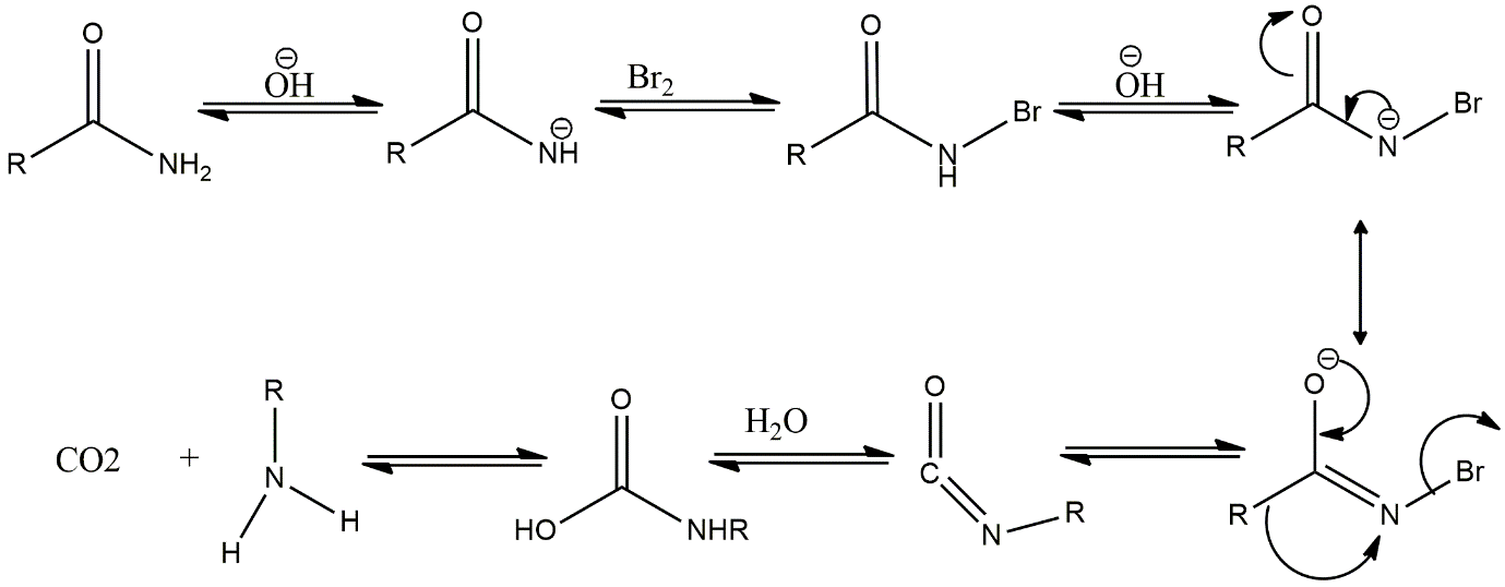
A lot of intermediates can be found in this reaction because of a lot of steps present in the reaction. After step-by-step solving the reaction, all three above intermediates formed in the reaction except option D i.e., RNC. The reaction mechanism is shown below:

Image:Mechanism of Hoffmann rearrangement
At first hydroxyl ion of the base \[KOH\]accepts \[{H^ + }\]from \[N\]of amide functional group to form an \[RCON\]intermediate, then \[B{r^ + }\]of \[B{r_2}\]attacks on \[{N^ - }\]of intermediate to form\[RCONHBr\]. Then again, the base accepts another \[{H^ + }\]of the amide functional group. Now, the \[R\]group migrates to Nitrogen and \[Br\]ion leaves as it is a leaving group and gives an \[RNCO\]intermediate. After that, proton and hydroxyl ions of water get added to the intermediate and give carbamic acid which gives amine as a final product with the loss of carbon dioxide gas.
So, the option D is correct.
Additional Information:The carbon dioxide gas released in the last step is the driving force of the reaction as this increases the entropy of the reaction, due to which the reaction becomes spontaneous.
Note: Hofmann rearrangement is an organic reaction of primary amides and not the Hofmann elimination reaction. Hofmann elimination is the elimination reaction to form an alkene product.
Complete Step by Step Solution:
A lot of intermediates can be found in this reaction because of a lot of steps present in the reaction. After step-by-step solving the reaction, all three above intermediates formed in the reaction except option D i.e., RNC. The reaction mechanism is shown below:

Image:Mechanism of Hoffmann rearrangement
At first hydroxyl ion of the base \[KOH\]accepts \[{H^ + }\]from \[N\]of amide functional group to form an \[RCON\]intermediate, then \[B{r^ + }\]of \[B{r_2}\]attacks on \[{N^ - }\]of intermediate to form\[RCONHBr\]. Then again, the base accepts another \[{H^ + }\]of the amide functional group. Now, the \[R\]group migrates to Nitrogen and \[Br\]ion leaves as it is a leaving group and gives an \[RNCO\]intermediate. After that, proton and hydroxyl ions of water get added to the intermediate and give carbamic acid which gives amine as a final product with the loss of carbon dioxide gas.
So, the option D is correct.
Additional Information:The carbon dioxide gas released in the last step is the driving force of the reaction as this increases the entropy of the reaction, due to which the reaction becomes spontaneous.
Note: Hofmann rearrangement is an organic reaction of primary amides and not the Hofmann elimination reaction. Hofmann elimination is the elimination reaction to form an alkene product.
Recently Updated Pages
Difference Between Alcohol and Phenol: Structure, Tests & Uses

Classification of Drugs in Chemistry: Types, Examples & Exam Guide

Class 12 Chemistry Mock Test Series for JEE Main – Free Online Practice

Is PPh3 a strong ligand class 12 chemistry JEE_Main

Full name of DDT is A 111trichloro22bispchlorophenyl class 12 chemistry JEE_Main

Sodium acetate on heating with soda lime produce A class 12 chemistry JEE_Main

Trending doubts
JEE Main 2026: Application Form Open, Exam Dates, Syllabus, Eligibility & Question Papers

Derivation of Equation of Trajectory Explained for Students

Hybridisation in Chemistry – Concept, Types & Applications

Understanding the Angle of Deviation in a Prism

How to Convert a Galvanometer into an Ammeter or Voltmeter

Degree of Dissociation: Meaning, Formula, Calculation & Uses

Other Pages
Solutions Class 12 Chemistry Chapter 1 CBSE Notes - 2025-26

NCERT Solutions For Class 12 Chemistry Chapter 1 Solutions - 2025-26

The D and F Block Elements Class 12 Chemistry Chapter 4 CBSE Notes - 2025-26

NCERT Solutions for Class 12 Chemistry Chapter Chapter 7 Alcohol Phenol and Ether

NCERT Solutions ForClass 12 Chemistry Chapter Chapter 8 Aldehydes Ketones And Carboxylic Acids

JEE Advanced Marks vs Ranks 2025: Understanding Category-wise Qualifying Marks and Previous Year Cut-offs

