
Which of the following is isomorphous with \[{\text{MgS}}{{\text{O}}_{\text{4}}}{\text{.7}}{{\text{H}}_{\text{2}}}{\text{O}}\] ?
(A) Green vitriol
(B) Blue vitriol
(C) Red vitriol
(D) Vitriol of Mars
Answer
218.4k+ views
Hint: - Two substances are said to be isomorphous if they have the same chemical formulation.
- Isomorphous crystals must possess atoms having corresponding chemical properties. The size of the corresponding atoms should also be similar.
Complete step by step answer:
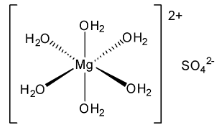
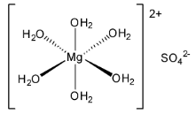
Epsom salt is actually magnesium sulfate in the most common form which is magnesium sulfate heptahydrate or \[{\text{MgS}}{{\text{O}}_{\text{4}}}{\text{.7}}{{\text{H}}_{\text{2}}}{\text{O}}\] . It loses one equivalent of water to form the hexahydrate which has octahedral geometry.

Green vitriol is another name of crystalline ferrous sulphate or iron (II) sulphate. The most commonly encountered form is the heptahydrate form. It has the chemical formula \[{\text{FeS}}{{\text{O}}_{\text{4}}}{\text{.7}}{{\text{H}}_{\text{2}}}{\text{O}}\] . It is bluish – green in colour. It dissolves in water to give the hexahydrated form which has octahedral geometry.

Thus, green vitriol has the same chemical formulation as magnesium sulphate heptahydrate or Epsom salt. They also have similar shape and chemical properties. So, they are isomorphous and hence, option A is correct.
Blue vitriol is just another name for copper sulphate or copper (II) sulphate. The most commonly encountered form of copper sulphate is copper sulphate pentahydrate which is bright blue in colour. It has the chemical formula \[{\text{CuS}}{{\text{O}}_{\text{4}}}{\text{.5}}{{\text{H}}_{\text{2}}}{\text{O}}\] . Thus, it has a different chemical formulation than that of magnesium sulphate heptahydrate and so they are not isomorphous. So, option B is wrong.
Red vitriol is cobalt (II) sulphate heptahydrate having the chemical formula \[{\text{CoS}}{{\text{O}}_{\text{4}}}{\text{.7}}{{\text{H}}_{\text{2}}}{\text{O}}\]. The size of the cobalt atom is not similar to that of magnesium in Epsom salt and hence C is also wrong.
Vitriol of Mars is ferric sulphate or iron (III) sulphate having the chemical formula \[{\text{F}}{{\text{e}}_2}{\left( {{\text{S}}{{\text{O}}_{\text{4}}}} \right)_3}\] . Thus, it has a different chemical formulation than that of magnesium sulphate heptahydrate and so they are not isomorphous. So, option D is wrong.
Note:
- The main external use of Epsom salt is the formulation of bath salts to treat sore feet. It is also used as a saline laxative.
- Epsom salt also leads to the release of cholecystokinin and this in turn causes the increase of intestinal motility.
- Isomorphous crystals must possess atoms having corresponding chemical properties. The size of the corresponding atoms should also be similar.
Complete step by step answer:
Epsom salt is actually magnesium sulfate in the most common form which is magnesium sulfate heptahydrate or \[{\text{MgS}}{{\text{O}}_{\text{4}}}{\text{.7}}{{\text{H}}_{\text{2}}}{\text{O}}\] . It loses one equivalent of water to form the hexahydrate which has octahedral geometry.

Green vitriol is another name of crystalline ferrous sulphate or iron (II) sulphate. The most commonly encountered form is the heptahydrate form. It has the chemical formula \[{\text{FeS}}{{\text{O}}_{\text{4}}}{\text{.7}}{{\text{H}}_{\text{2}}}{\text{O}}\] . It is bluish – green in colour. It dissolves in water to give the hexahydrated form which has octahedral geometry.

Thus, green vitriol has the same chemical formulation as magnesium sulphate heptahydrate or Epsom salt. They also have similar shape and chemical properties. So, they are isomorphous and hence, option A is correct.
Blue vitriol is just another name for copper sulphate or copper (II) sulphate. The most commonly encountered form of copper sulphate is copper sulphate pentahydrate which is bright blue in colour. It has the chemical formula \[{\text{CuS}}{{\text{O}}_{\text{4}}}{\text{.5}}{{\text{H}}_{\text{2}}}{\text{O}}\] . Thus, it has a different chemical formulation than that of magnesium sulphate heptahydrate and so they are not isomorphous. So, option B is wrong.
Red vitriol is cobalt (II) sulphate heptahydrate having the chemical formula \[{\text{CoS}}{{\text{O}}_{\text{4}}}{\text{.7}}{{\text{H}}_{\text{2}}}{\text{O}}\]. The size of the cobalt atom is not similar to that of magnesium in Epsom salt and hence C is also wrong.
Vitriol of Mars is ferric sulphate or iron (III) sulphate having the chemical formula \[{\text{F}}{{\text{e}}_2}{\left( {{\text{S}}{{\text{O}}_{\text{4}}}} \right)_3}\] . Thus, it has a different chemical formulation than that of magnesium sulphate heptahydrate and so they are not isomorphous. So, option D is wrong.
Note:
- The main external use of Epsom salt is the formulation of bath salts to treat sore feet. It is also used as a saline laxative.
- Epsom salt also leads to the release of cholecystokinin and this in turn causes the increase of intestinal motility.
Recently Updated Pages
Is PPh3 a strong ligand class 12 chemistry JEE_Main

Full name of DDT is A 111trichloro22bispchlorophenyl class 12 chemistry JEE_Main

Sodium acetate on heating with soda lime produce A class 12 chemistry JEE_Main

Find the isoelectric point pI of Lysine A 556 B 974 class 12 chemistry JEE_Main

The order of basicity among the following compounds class 12 chemistry JEE_Main

The number of isomers in C4H10O are a7 b8 c6 d5 class 12 chemistry JEE_Main

Trending doubts
JEE Main 2026: Application Form Open, Exam Dates, Syllabus, Eligibility & Question Papers

Derivation of Equation of Trajectory Explained for Students

Hybridisation in Chemistry – Concept, Types & Applications

Understanding the Angle of Deviation in a Prism

Understanding Collisions: Types and Examples for Students

Understanding Atomic Structure for Beginners

Other Pages
NCERT Solutions For Class 12 Chemistry Chapter 1 Solutions - 2025-26

NCERT Solutions for Class 12 Chemistry Chapter Chapter 7 Alcohol Phenol and Ether

NCERT Solutions ForClass 12 Chemistry Chapter Chapter 8 Aldehydes Ketones And Carboxylic Acids

JEE Advanced Marks vs Ranks 2025: Understanding Category-wise Qualifying Marks and Previous Year Cut-offs

Haloalkanes and Haloarenes Class 12 Chemistry Chapter 6 CBSE Notes - 2025-26

Solutions Class 12 Chemistry Chapter 1 CBSE Notes - 2025-26

