
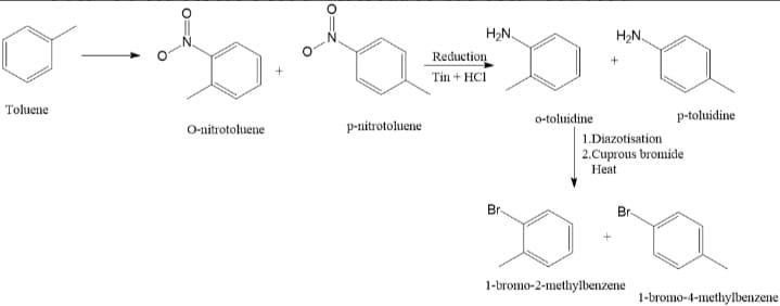
Toluene is nitrated, and the resulting product is reduced with tin and hydrochloric acid. The product obtained is diazotized and heated with cuprous bromide. The reaction mixture formed contains :
(A) Mixture of o - and p - bromoanilines
(B) Mixture of o - and m - bromotoulenes
(C) Mixture of o - and p - bromotoulenes
(D) Mixture of o - and p - dibromobenzenes
Answer
221.7k+ views
Hint: Toluene is a transparent, colourless liquid that, when heated to room temperature, turns into a vapour. Toluene is a naturally occurring component of crude oil and is used in the production of paints, lacquers, explosives (TNT), and glues, in addition to oil refining. Toluene exposure can lead to a variety of symptoms, including irritation of the eyes and nose, exhaustion, headache, dilated pupils, tears, anxiety, muscle fatigue, sleeplessness, and nerve damage.
Complete Step by Step Answer:
In the first step, toluene is nitrated with nitric acid ($HN{{O}_{3}}$), it forms o - and p - nitrotoulenes. The nitrotoulenes on reduction with tin and hydrochloric acid ($HCl$) forms o- and p- toulidine. When these toulidines is diazotized and heated with cuprous bromide, the product formed is a mixture of o-and p-bromotoulenes.

Correct Option: (C) Mixture of o - and p - bromotoulenes.
Note: The methyl group present in toluene is an electron-donating group. The methyl group activates the benzene ring. The electron donating groups are o - and p - directing. On the other hand, if an electron releasing group is attached to a ring, it deactivates the ring.
Complete Step by Step Answer:
In the first step, toluene is nitrated with nitric acid ($HN{{O}_{3}}$), it forms o - and p - nitrotoulenes. The nitrotoulenes on reduction with tin and hydrochloric acid ($HCl$) forms o- and p- toulidine. When these toulidines is diazotized and heated with cuprous bromide, the product formed is a mixture of o-and p-bromotoulenes.

Correct Option: (C) Mixture of o - and p - bromotoulenes.
Note: The methyl group present in toluene is an electron-donating group. The methyl group activates the benzene ring. The electron donating groups are o - and p - directing. On the other hand, if an electron releasing group is attached to a ring, it deactivates the ring.
Recently Updated Pages
Is PPh3 a strong ligand class 12 chemistry JEE_Main

JEE Main 2025-26 Mock Test: Organic Compounds Containing Nitrogen

JEE Main 2025-26 Organic Compounds Containing Nitrogen Mock Test

Full name of DDT is A 111trichloro22bispchlorophenyl class 12 chemistry JEE_Main

JEE Main Mock Test 2025-26: Purification & Characterisation of Organic Compounds

JEE Main Chemical Kinetics Mock Test 2025-26: Free Practice Online

Trending doubts
JEE Main 2026: Application Form Open, Exam Dates, Syllabus, Eligibility & Question Papers

Derivation of Equation of Trajectory Explained for Students

Hybridisation in Chemistry – Concept, Types & Applications

Understanding the Angle of Deviation in a Prism

How to Convert a Galvanometer into an Ammeter or Voltmeter

Degree of Dissociation: Meaning, Formula, Calculation & Uses

Other Pages
Solutions Class 12 Chemistry Chapter 1 CBSE Notes - 2025-26

NCERT Solutions For Class 12 Chemistry Chapter 1 Solutions - 2025-26

The D and F Block Elements Class 12 Chemistry Chapter 4 CBSE Notes - 2025-26

NCERT Solutions for Class 12 Chemistry Chapter Chapter 7 Alcohol Phenol and Ether

NCERT Solutions ForClass 12 Chemistry Chapter Chapter 8 Aldehydes Ketones And Carboxylic Acids

JEE Advanced Marks vs Ranks 2025: Understanding Category-wise Qualifying Marks and Previous Year Cut-offs

