
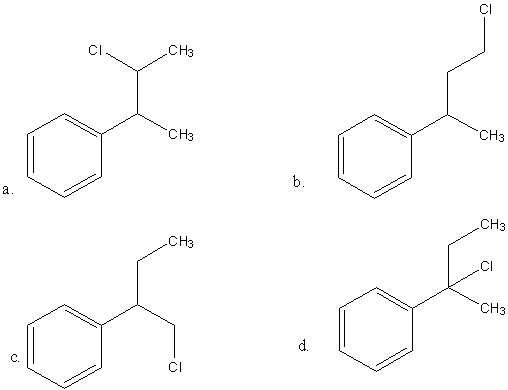
Reaction of Grignard reagent, C2H5MGBr with C8H8O followed by hydrolysis gives compound ‘A’ which reacts instantly with Lucas reagent to give compound B, C10H13Cl. The compound B us:

Answer
220.8k+ views
Hint: A Grignard reagent defines a chemical entity of the formula R-Mg-X, here, R indicates the alkyl or aryl group and X represents a halogen such as Chlorine, Bromine etc. It is one of the most useful reagents in chemistry due to its use in the manufacture of a variety of compounds.
Complete Step by Step Solution:
The reaction of ketone with the Grignard reagent gives tertiary alcohol. And when tertiary alcohol undergoes reaction with Lucas reagent, it gives alkyl chloride. Therefore, \[{{\rm{C}}_{\rm{8}}}{{\rm{H}}_{\rm{8}}}{\rm{O}}\]is a ketone.
The reaction of \[{{\rm{C}}_{\rm{8}}}{{\rm{H}}_{\rm{8}}}{\rm{O}}\]and \[{{\rm{C}}_{\rm{2}}}{{\rm{H}}_{\rm{5}}}{\rm{MgBr}}\]are shown as below,
Image: Reaction with Grignard reagent
In the above reaction, the first step is the nucleophilic attack of the C-Mg bond to the Carbonyl Carbon takes place. And in the second step, protonation occurs. In this step, negatively charged Oxygen accepts a proton and results in the formation of alcohol.
The next reaction is the reaction of formed alcohol (A) with Lucas's reagent. Lucas' reagent defines a chemical entity composed of zinc chloride solution (anhydrous form) in hydrochloric acid (concentrated form).
So, the reaction is,
Image: Reaction with Lucas reagent
When tertiary alcohol undergoes reaction with Lucas reagent, it converts into alcohol. So, B is an alkyl chloride.
Hence,the correct option is B
Note: It is to be noted that Lucas reagent is useful in differentiating between primary, tertiary and secondary alcohols. The difference between them is measured by the time required by each to make the clear solution turbid.
Complete Step by Step Solution:
The reaction of ketone with the Grignard reagent gives tertiary alcohol. And when tertiary alcohol undergoes reaction with Lucas reagent, it gives alkyl chloride. Therefore, \[{{\rm{C}}_{\rm{8}}}{{\rm{H}}_{\rm{8}}}{\rm{O}}\]is a ketone.
The reaction of \[{{\rm{C}}_{\rm{8}}}{{\rm{H}}_{\rm{8}}}{\rm{O}}\]and \[{{\rm{C}}_{\rm{2}}}{{\rm{H}}_{\rm{5}}}{\rm{MgBr}}\]are shown as below,
Image: Reaction with Grignard reagent
In the above reaction, the first step is the nucleophilic attack of the C-Mg bond to the Carbonyl Carbon takes place. And in the second step, protonation occurs. In this step, negatively charged Oxygen accepts a proton and results in the formation of alcohol.
The next reaction is the reaction of formed alcohol (A) with Lucas's reagent. Lucas' reagent defines a chemical entity composed of zinc chloride solution (anhydrous form) in hydrochloric acid (concentrated form).
So, the reaction is,
Image: Reaction with Lucas reagent
When tertiary alcohol undergoes reaction with Lucas reagent, it converts into alcohol. So, B is an alkyl chloride.
Hence,the correct option is B
Note: It is to be noted that Lucas reagent is useful in differentiating between primary, tertiary and secondary alcohols. The difference between them is measured by the time required by each to make the clear solution turbid.
Recently Updated Pages
The hybridization and shape of NH2 ion are a sp2 and class 11 chemistry JEE_Main

What is the pH of 001 M solution of HCl a 1 b 10 c class 11 chemistry JEE_Main

Aromatization of nhexane gives A Benzene B Toluene class 11 chemistry JEE_Main

Show how you will synthesise i 1Phenylethanol from class 11 chemistry JEE_Main

The enolic form of acetone contains a 10sigma bonds class 11 chemistry JEE_Main

Which of the following Compounds does not exhibit tautomerism class 11 chemistry JEE_Main

Trending doubts
JEE Main 2026: Application Form Open, Exam Dates, Syllabus, Eligibility & Question Papers

Derivation of Equation of Trajectory Explained for Students

Hybridisation in Chemistry – Concept, Types & Applications

Understanding the Angle of Deviation in a Prism

How to Convert a Galvanometer into an Ammeter or Voltmeter

Degree of Dissociation: Meaning, Formula, Calculation & Uses

Other Pages
NCERT Solutions For Class 11 Chemistry Chapter 7 Redox Reaction

JEE Advanced Marks vs Ranks 2025: Understanding Category-wise Qualifying Marks and Previous Year Cut-offs

Hydrocarbons Class 11 Chemistry Chapter 9 CBSE Notes - 2025-26

Thermodynamics Class 11 Chemistry Chapter 5 CBSE Notes - 2025-26

NCERT Solutions ForClass 11 Chemistry Chapter Chapter 5 Thermodynamics

Equilibrium Class 11 Chemistry Chapter 6 CBSE Notes - 2025-26

