
Aldehydes are isomeric with
(A) Ketones
(B) Ethers
(C) Alcohols
(D) Fatty acids
Answer
220.5k+ views
Hint: All the given compounds in the question are organic compounds which differ in functional group. So, for these types of questions, the isomerism should be functional constitutional isomers i.e., the molecular formula is the same but the compounds differ in the functional group attached within the compound.
Complete Step by Step Solution:
Aldehydes: These are the organic compounds which consist of a carbon chain that may be aliphatic, aromatic or hydrogen atom bonded to a terminal carbon consisting of double bond oxygen and single bond hydrogen.
The structure of an aldehyde can be diagrammatically represented as follows:

Where R can be a hydrogen atom, aliphatic or aromatic ring.
Ketones: These are the organic compounds in which the carbon atom is bonded to oxygen via double bond and both the terminal bonds of the carbon atom are attached to a carbon chain that may be aromatic or aliphatic.
The structure of a ketone can be diagrammatically represented as follows:

Ethers: These compounds belong to the class of organic compounds in which two carbon chains are connected to each other via oxygen atoms. An ether is generally represented as ${\rm{R}} - {\rm{O}} - {\rm{R}}$
Alcohols: These compounds belong to the class of organic compounds in which a carbon chain (aliphatic or aromatic) is bonded to the hydroxide group. The general structure of an alcohol is ${\rm{R}} - {\rm{OH}}$.
Fatty acids: These compounds are the type of organic compounds which consist of a long aliphatic chain of carbon bonded to a carboxylic group. The general structure of a fatty acid is $C{H_3}{(C{H_2})_n}COOH$, where n is usually an even number and lies between $2 - 28$.
Among the given options, it is clear that alcohols and ether have one carbon less as compared to aldehyde and thus cannot be isomeric while in fatty acid, there is an extra oxygen atom present in the structure as compared to aldehyde, so this option is eliminated as well.
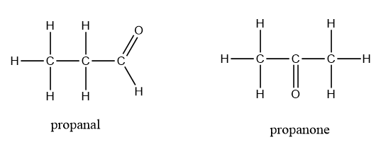
Thus, the aldehydes are isomeric in nature with ketones showing functional isomerism. An example showing the functional isomerism in aldehydes and ketones is as follows:

Therefore, option (A) is the correct answer.
Note: It is important to note that in organic chemistry, the functional groups which are isomeric to each other i.e., they have similar molecular structure but the functional groups attached to the compound are not same and differ in physical and chemical properties. The following are the functional groups which are generally isomeric to each other:
1. Alcohols and ethers
2. Aldehydes and ketones
3. Carboxylic acids and esters.
Complete Step by Step Solution:
Aldehydes: These are the organic compounds which consist of a carbon chain that may be aliphatic, aromatic or hydrogen atom bonded to a terminal carbon consisting of double bond oxygen and single bond hydrogen.
The structure of an aldehyde can be diagrammatically represented as follows:

Where R can be a hydrogen atom, aliphatic or aromatic ring.
Ketones: These are the organic compounds in which the carbon atom is bonded to oxygen via double bond and both the terminal bonds of the carbon atom are attached to a carbon chain that may be aromatic or aliphatic.
The structure of a ketone can be diagrammatically represented as follows:

Ethers: These compounds belong to the class of organic compounds in which two carbon chains are connected to each other via oxygen atoms. An ether is generally represented as ${\rm{R}} - {\rm{O}} - {\rm{R}}$
Alcohols: These compounds belong to the class of organic compounds in which a carbon chain (aliphatic or aromatic) is bonded to the hydroxide group. The general structure of an alcohol is ${\rm{R}} - {\rm{OH}}$.
Fatty acids: These compounds are the type of organic compounds which consist of a long aliphatic chain of carbon bonded to a carboxylic group. The general structure of a fatty acid is $C{H_3}{(C{H_2})_n}COOH$, where n is usually an even number and lies between $2 - 28$.
Among the given options, it is clear that alcohols and ether have one carbon less as compared to aldehyde and thus cannot be isomeric while in fatty acid, there is an extra oxygen atom present in the structure as compared to aldehyde, so this option is eliminated as well.
Thus, the aldehydes are isomeric in nature with ketones showing functional isomerism. An example showing the functional isomerism in aldehydes and ketones is as follows:

Therefore, option (A) is the correct answer.
Note: It is important to note that in organic chemistry, the functional groups which are isomeric to each other i.e., they have similar molecular structure but the functional groups attached to the compound are not same and differ in physical and chemical properties. The following are the functional groups which are generally isomeric to each other:
1. Alcohols and ethers
2. Aldehydes and ketones
3. Carboxylic acids and esters.
Recently Updated Pages
The hybridization and shape of NH2 ion are a sp2 and class 11 chemistry JEE_Main

What is the pH of 001 M solution of HCl a 1 b 10 c class 11 chemistry JEE_Main

Aromatization of nhexane gives A Benzene B Toluene class 11 chemistry JEE_Main

Show how you will synthesise i 1Phenylethanol from class 11 chemistry JEE_Main

The enolic form of acetone contains a 10sigma bonds class 11 chemistry JEE_Main

Which of the following Compounds does not exhibit tautomerism class 11 chemistry JEE_Main

Trending doubts
JEE Main 2026: Application Form Open, Exam Dates, Syllabus, Eligibility & Question Papers

Derivation of Equation of Trajectory Explained for Students

Hybridisation in Chemistry – Concept, Types & Applications

Understanding the Angle of Deviation in a Prism

How to Convert a Galvanometer into an Ammeter or Voltmeter

Degree of Dissociation: Meaning, Formula, Calculation & Uses

Other Pages
NCERT Solutions For Class 11 Chemistry Chapter 7 Redox Reaction

JEE Advanced Marks vs Ranks 2025: Understanding Category-wise Qualifying Marks and Previous Year Cut-offs

Hydrocarbons Class 11 Chemistry Chapter 9 CBSE Notes - 2025-26

Thermodynamics Class 11 Chemistry Chapter 5 CBSE Notes - 2025-26

NCERT Solutions ForClass 11 Chemistry Chapter Chapter 5 Thermodynamics

Equilibrium Class 11 Chemistry Chapter 6 CBSE Notes - 2025-26

