
Which one doesn't liberate \[N{H_3}\] when undergoing hydrolysis?
A. Acetanilide
B. Acetonitrile
C. Acetamide
D. Phenyl isocyanide
Answer
219k+ views
Hint: Hydro means water and lysis mean splitting, which means the hydrolysis reaction works with water. Here water splits into hydronium ions (protons) and hydroxyl ions, which are then attached to another molecule of the system.
Complete Step by Step Solution:
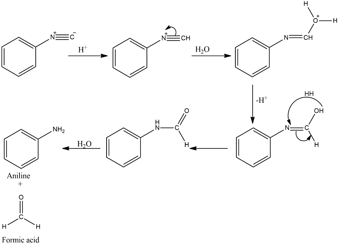
For this, a hydrolysis reaction should be done to check which one is liberating ammonia. The above options are having different functional groups, so all may have different steps of reactions.

Image: Hydrolysis reactions
After hydrolysis, only phenyl isocyanide is not liberating ammonia. Instead, it has formic acid as a by-product. And also, it requires an acidic condition for hydrolysis. This is because they both are charged. So, they need an acidic condition to accelerate the reaction.
So, the option D is correct.
Additional Information: Acetanilide and acetamide, both are having amide functional groups. Their carbon is more electrophilic because of electronegative atoms adjacent to it. On hydrolysis, hydroxyl ions will attach to this carbon. And hydronium ions to the nitrogen of amide functional group as it is electronegative. This results in breaking the bond between carbon and nitrogen of the amide functional group. Similar steps apply to acetonitrile. Acetonitrile has a cyanide functional group. There is again an electronegativity difference between carbon and nitrogen which will help in hydrolysis.
Note: Complete knowledge of hydrolysis is necessary. For ease, try memorising the functional groups and the generated electronegativity difference. This will help in reactions to understand which bond is susceptible to break.
Complete Step by Step Solution:
For this, a hydrolysis reaction should be done to check which one is liberating ammonia. The above options are having different functional groups, so all may have different steps of reactions.

Image: Hydrolysis reactions
After hydrolysis, only phenyl isocyanide is not liberating ammonia. Instead, it has formic acid as a by-product. And also, it requires an acidic condition for hydrolysis. This is because they both are charged. So, they need an acidic condition to accelerate the reaction.
So, the option D is correct.
Additional Information: Acetanilide and acetamide, both are having amide functional groups. Their carbon is more electrophilic because of electronegative atoms adjacent to it. On hydrolysis, hydroxyl ions will attach to this carbon. And hydronium ions to the nitrogen of amide functional group as it is electronegative. This results in breaking the bond between carbon and nitrogen of the amide functional group. Similar steps apply to acetonitrile. Acetonitrile has a cyanide functional group. There is again an electronegativity difference between carbon and nitrogen which will help in hydrolysis.
Note: Complete knowledge of hydrolysis is necessary. For ease, try memorising the functional groups and the generated electronegativity difference. This will help in reactions to understand which bond is susceptible to break.
Recently Updated Pages
Is PPh3 a strong ligand class 12 chemistry JEE_Main

Full name of DDT is A 111trichloro22bispchlorophenyl class 12 chemistry JEE_Main

Sodium acetate on heating with soda lime produce A class 12 chemistry JEE_Main

Find the isoelectric point pI of Lysine A 556 B 974 class 12 chemistry JEE_Main

The order of basicity among the following compounds class 12 chemistry JEE_Main

The number of isomers in C4H10O are a7 b8 c6 d5 class 12 chemistry JEE_Main

Trending doubts
JEE Main 2026: Application Form Open, Exam Dates, Syllabus, Eligibility & Question Papers

Derivation of Equation of Trajectory Explained for Students

Hybridisation in Chemistry – Concept, Types & Applications

Understanding the Angle of Deviation in a Prism

Understanding Collisions: Types and Examples for Students

Understanding Atomic Structure for Beginners

Other Pages
NCERT Solutions For Class 12 Chemistry Chapter 1 Solutions - 2025-26

NCERT Solutions for Class 12 Chemistry Chapter Chapter 7 Alcohol Phenol and Ether

NCERT Solutions ForClass 12 Chemistry Chapter Chapter 8 Aldehydes Ketones And Carboxylic Acids

JEE Advanced Marks vs Ranks 2025: Understanding Category-wise Qualifying Marks and Previous Year Cut-offs

Haloalkanes and Haloarenes Class 12 Chemistry Chapter 6 CBSE Notes - 2025-26

Solutions Class 12 Chemistry Chapter 1 CBSE Notes - 2025-26

