
The final product C, obtained in the reaction, would be:

A. 
B. 
C. 
D. 
Answer
220.5k+ views
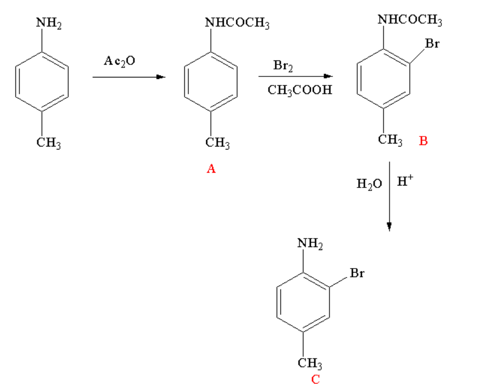
Hint: \[A{c_2}O\] stands for acetic anhydride which is used as a acetylating reagent in the first step. In the second step bromination takes place with bromine in acetic acid and in the third step hydrolysis takes place.
Complete step by step solution:By looking in the reaction sequence, it can be seen that the reaction is taking place in three steps.
In the first step p-toluidine reacts with acetic anhydride to form an acetylated compound known as N-p-tolylacetamide. Acetylation is a reaction where an acetyl group is introduced to the reactant. In the first step, amine is getting converted to amide.
In the second step, p-tolyl acetamide reacts with bromine in presence of acetic acid to form N-(2-bromo-4-methylphenyl)acetamide. The reaction is known as bromination reaction where bromine is added to the ortho position of the reactant.
In the third step, N-(2-bromo-4-methylphenyl)acetamide undergoes hydrolysis to form 2-bromo-4-methylbenzenamine. Hydrolysis is a reaction where one of the reactants is water or in other way a water molecule is added to the reactant. Here, the amide group is again converted to amine group.
The overall reaction for the conversion is shown below.
Image: Reaction sequence
Image: Reaction sequence
Therefore, option C is correct.
Note: The common name of N-(2-bromo-4-methylphenyl)acetamide is bromoacetanilide. The final compound formed is a monobromo compound as only one bromine atom is attached. It should be noted that acetic acid in bromination is used as a solvent.
Complete step by step solution:By looking in the reaction sequence, it can be seen that the reaction is taking place in three steps.
In the first step p-toluidine reacts with acetic anhydride to form an acetylated compound known as N-p-tolylacetamide. Acetylation is a reaction where an acetyl group is introduced to the reactant. In the first step, amine is getting converted to amide.
In the second step, p-tolyl acetamide reacts with bromine in presence of acetic acid to form N-(2-bromo-4-methylphenyl)acetamide. The reaction is known as bromination reaction where bromine is added to the ortho position of the reactant.
In the third step, N-(2-bromo-4-methylphenyl)acetamide undergoes hydrolysis to form 2-bromo-4-methylbenzenamine. Hydrolysis is a reaction where one of the reactants is water or in other way a water molecule is added to the reactant. Here, the amide group is again converted to amine group.
The overall reaction for the conversion is shown below.
Image: Reaction sequence

Image: Reaction sequence
Therefore, option C is correct.
Note: The common name of N-(2-bromo-4-methylphenyl)acetamide is bromoacetanilide. The final compound formed is a monobromo compound as only one bromine atom is attached. It should be noted that acetic acid in bromination is used as a solvent.
Recently Updated Pages
Difference Between Alcohol and Phenol: Structure, Tests & Uses

Class 12 Chemistry Mock Test Series for JEE Main – Free Online Practice

Electricity and Magnetism Explained: Key Concepts & Applications

JEE Energetics Important Concepts and Tips for Exam Preparation

JEE Isolation, Preparation and Properties of Non-metals Important Concepts and Tips for Exam Preparation

JEE Main 2021 July 25 Shift 1 Question Paper with Answer Key

Trending doubts
JEE Main 2026: Application Form Open, Exam Dates, Syllabus, Eligibility & Question Papers

Derivation of Equation of Trajectory Explained for Students

Hybridisation in Chemistry – Concept, Types & Applications

Understanding the Angle of Deviation in a Prism

How to Convert a Galvanometer into an Ammeter or Voltmeter

JEE Main Marking Scheme 2026- Paper-Wise Marks Distribution and Negative Marking Details

Other Pages
Solutions Class 12 Chemistry Chapter 1 CBSE Notes - 2025-26

NCERT Solutions For Class 12 Chemistry Chapter 1 Solutions - 2025-26

The D and F Block Elements Class 12 Chemistry Chapter 4 CBSE Notes - 2025-26

NCERT Solutions for Class 12 Chemistry Chapter Chapter 7 Alcohol Phenol and Ether

NCERT Solutions ForClass 12 Chemistry Chapter Chapter 8 Aldehydes Ketones And Carboxylic Acids

JEE Advanced Marks vs Ranks 2025: Understanding Category-wise Qualifying Marks and Previous Year Cut-offs

