
The amine which can react with \[{{\rm{C}}_{\rm{6}}}{{\rm{H}}_{\rm{5}}} - {\rm{S}}{{\rm{O}}_{\rm{2}}} - {\rm{Cl}}\] to form a product insoluble in alkali shall be
A. Primary amine
B. Secondary amine
C. Tertiary amine
D. Both primary and secondary amine
Answer
232.8k+ views
Hint: The reagent \[{{\rm{C}}_{\rm{6}}}{{\rm{H}}_{\rm{5}}} - {\rm{S}}{{\rm{O}}_{\rm{2}}} - {\rm{Cl}}\] is also called benzene sulphonyl chloride. This reagent helps to differentiate between primary, secondary and tertiary amine. The three types of amines undergo different reactions with benzene sulphonyl chloride.
Complete Step by Step Solution:
Let’s understand the reaction of primary, secondary and tertiary amine with \[{{\rm{C}}_{\rm{6}}}{{\rm{H}}_{\rm{5}}} - {\rm{S}}{{\rm{O}}_{\rm{2}}} - {\rm{Cl}}\].
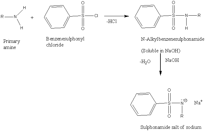
When primary amine undergoes reaction with \[{{\rm{C}}_{\rm{6}}}{{\rm{H}}_{\rm{5}}} - {\rm{S}}{{\rm{O}}_{\rm{2}}} - {\rm{Cl}}\], the nucleophilic attack of N atom at the S atom of benzene sulphonamide occurs. The product is soluble in alkali. The reaction is,

Image: Reaction of a primary amine with benzene sulphonyl chloride
Now, we will understand the reaction of a secondary amine with benzene sulphonyl chloride. Here, also, nucleophilic attack of N at the S atom of benzene-sulphonyl chloride. The product obtained does not undergo a reaction with NaOH because there is no hydrogen atom in the compound. Therefore, the product is not soluble in alkali (NaOH). The chemical reaction is as follows:

Image: Reaction of a secondary amine with Benzenesulfonyl chloride
Now, we will understand the reaction of a tertiary amine with benzene sulphonyl chloride. In tertiary amine, the N atom is bonded to three alkyl groups. So, nucleophilic attack of N atom at S atom does not occur. So, tertiary amine gives a negative Hinsberg test.
Hence, the correct answer is option B, i.e., secondary amine.
Note: Hinsberg reagent is an organosulfur compound. It appears as oil of no colour and is viscous in nature. It shows solubility in organic solvents. This reagent undergoes a reaction with those compounds that possess N-H and O-H bonds because these bonds are very reactive in nature.
Complete Step by Step Solution:
Let’s understand the reaction of primary, secondary and tertiary amine with \[{{\rm{C}}_{\rm{6}}}{{\rm{H}}_{\rm{5}}} - {\rm{S}}{{\rm{O}}_{\rm{2}}} - {\rm{Cl}}\].
When primary amine undergoes reaction with \[{{\rm{C}}_{\rm{6}}}{{\rm{H}}_{\rm{5}}} - {\rm{S}}{{\rm{O}}_{\rm{2}}} - {\rm{Cl}}\], the nucleophilic attack of N atom at the S atom of benzene sulphonamide occurs. The product is soluble in alkali. The reaction is,

Image: Reaction of a primary amine with benzene sulphonyl chloride
Now, we will understand the reaction of a secondary amine with benzene sulphonyl chloride. Here, also, nucleophilic attack of N at the S atom of benzene-sulphonyl chloride. The product obtained does not undergo a reaction with NaOH because there is no hydrogen atom in the compound. Therefore, the product is not soluble in alkali (NaOH). The chemical reaction is as follows:

Image: Reaction of a secondary amine with Benzenesulfonyl chloride
Now, we will understand the reaction of a tertiary amine with benzene sulphonyl chloride. In tertiary amine, the N atom is bonded to three alkyl groups. So, nucleophilic attack of N atom at S atom does not occur. So, tertiary amine gives a negative Hinsberg test.
Hence, the correct answer is option B, i.e., secondary amine.
Note: Hinsberg reagent is an organosulfur compound. It appears as oil of no colour and is viscous in nature. It shows solubility in organic solvents. This reagent undergoes a reaction with those compounds that possess N-H and O-H bonds because these bonds are very reactive in nature.
Recently Updated Pages
JEE Main 2023 April 6 Shift 1 Question Paper with Answer Key

JEE Main 2023 April 6 Shift 2 Question Paper with Answer Key

JEE Main 2023 (January 31 Evening Shift) Question Paper with Solutions [PDF]

JEE Main 2023 January 30 Shift 2 Question Paper with Answer Key

JEE Main 2023 January 25 Shift 1 Question Paper with Answer Key

JEE Main 2023 January 24 Shift 2 Question Paper with Answer Key

Trending doubts
JEE Main 2026: Session 2 Registration Open, City Intimation Slip, Exam Dates, Syllabus & Eligibility

JEE Main 2026 Application Login: Direct Link, Registration, Form Fill, and Steps

Understanding the Angle of Deviation in a Prism

Hybridisation in Chemistry – Concept, Types & Applications

How to Convert a Galvanometer into an Ammeter or Voltmeter

Understanding the Electric Field of a Uniformly Charged Ring

Other Pages
JEE Advanced Marks vs Ranks 2025: Understanding Category-wise Qualifying Marks and Previous Year Cut-offs

NCERT Solutions For Class 12 Chemistry Chapter 1 Solutions (2025-26)

Solutions Class 12 Chemistry Chapter 1 CBSE Notes - 2025-26

NCERT Solutions For Class 12 Chemistry Chapter 4 The d and f Block Elements (2025-26)

Biomolecules Class 12 Chemistry Chapter 10 CBSE Notes - 2025-26

NCERT Solutions For Class 12 Chemistry Chapter 10 Biomolecules (2025-26)

