
What is obtained when Benzoyl Chloride reacts with Aniline in presence of Sodium Hydroxide?
(A) Benzoic acid
(B) Benzanilide
(C) Acetanilide
(D) Azobenzene
Answer
520.2k+ views
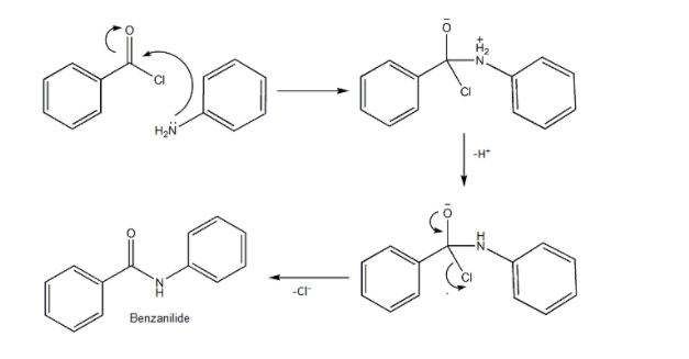
Hint: Nucleophilic N-atoms in Aniline can attack electrophilic atoms of Benzoyl Chloride and give a reaction. The Name of this reaction is Schotten-Baumann reaction.
Complete Step-by-Step Solution:

As shown in the mechanism, the N-atom of aniline is nucleophilic and it attacks the carbonyl carbon of Benzoyl chloride. Carbonyl carbon is often a preferred place for nucleophilic attack.
- Then Proton is lost and consequently, Chlorine anion is removed from the molecule to give neutral product Benzanilide.
- We can see that HCl is also formed during the reaction. So presence of Sodium hydroxide not only catalyses the reaction but also neutralizes the effect of acid formed in the reaction.
- So, option (B) Benzanilide is correct.
Additional Information:
- This reaction involves formation of a C-N bond. We can categorize this reaction to Condensation Reactions.
-A Condensation reaction is a type of a reaction in which two molecules combine to give a product and small neutral molecules like water, Ammonia etc…
- Benzanilide is used as Fungicide and Pesticide as well.
- In this Schotten-Baumann reaction, Pyridine can also be used as a catalyst in place of Sodium hydroxide.
Note:
- Do not get confused between Benzoyl chloride, Benzyl Chloride, Benzal Chloride and Benzo Chloride whose structures are as shown below.

Here no suitable conditions or reagents are present for electrophilic aromatic substitution, So, do not consider it.
Complete Step-by-Step Solution:

As shown in the mechanism, the N-atom of aniline is nucleophilic and it attacks the carbonyl carbon of Benzoyl chloride. Carbonyl carbon is often a preferred place for nucleophilic attack.
- Then Proton is lost and consequently, Chlorine anion is removed from the molecule to give neutral product Benzanilide.
- We can see that HCl is also formed during the reaction. So presence of Sodium hydroxide not only catalyses the reaction but also neutralizes the effect of acid formed in the reaction.
- So, option (B) Benzanilide is correct.
Additional Information:
- This reaction involves formation of a C-N bond. We can categorize this reaction to Condensation Reactions.
-A Condensation reaction is a type of a reaction in which two molecules combine to give a product and small neutral molecules like water, Ammonia etc…
- Benzanilide is used as Fungicide and Pesticide as well.
- In this Schotten-Baumann reaction, Pyridine can also be used as a catalyst in place of Sodium hydroxide.
Note:
- Do not get confused between Benzoyl chloride, Benzyl Chloride, Benzal Chloride and Benzo Chloride whose structures are as shown below.

Here no suitable conditions or reagents are present for electrophilic aromatic substitution, So, do not consider it.
Recently Updated Pages
Discuss briefly giving an example in each case the class 9 chemistry JEE_Main

The most abundant nonmetal found in the earths crust class 9 chemistry JEE_Main

What is obtained when Benzoyl Chloride reacts with class 9 chemistry JEE_Main

Which of the following gas is used to fill electric class 9 chemistry JEE_Main

Conversion of phenol to salicylic acid and to salicyaldehyde class 12 chemistry JEE_Main

What would be the product formed when 1bromo3chlorocyclobutane class 12 chemistry JEE_Main

Trending doubts
JEE Main 2026: Admit Card Out, City Intimation Slip, Exam Dates, Syllabus & Eligibility

JEE Main 2026 Jan 21 Shift 1 Question Papers with Solutions & Answer Keys – Detailed Day 1 Analysis

JEE Main Marks vs Percentile 2026: Calculate Percentile and Rank Using Marks

JEE Main 2026 Jan 22 Shift 1 Today Paper Live Analysis With Detailed Solutions

JEE Mains 2026 January 21 Shift 2 Question Paper with Solutions PDF - Complete Exam Analysis

JEE Main 2026 Jan 22 Shift 2 Today Paper Live Analysis With Detailed Solutions

Other Pages
Understanding the Different Types of Solutions in Chemistry

Happy New Year Wishes 2026 – 100+ Messages, Quotes, Shayari, Images & Status in All Languages

Makar Sankranti Wishes: Happy Makar Sankranti Wishes in Marathi, Hindi, Kannada, and English

What is the Full Form of UGC? Detailed Guide for Students

One Day International Cricket

Pongal 2026: Bhogi Pongal, Thai Pongal, Mattu Pongal, Kanum Pongal - Dates, Time, Rituals, and Significance

