

Learn What Is ATP And Its Functions
ATP full form stands for Adenosine Triphosphate, a molecule that carries energy within cells. ATP is essential for various cellular functions, including muscle contraction, protein synthesis, and cell division.
Get here a clear understanding of ATP, its role in energy transfer, and its importance in the proper functioning of living organisms.
Understanding the ATP
ATP is produced through metabolic processes, mainly in the mitochondria, by breaking down glucose and other nutrients. The energy stored in ATP is released when it is converted into ADP (Adenosine Diphosphate), fueling various bodily functions.Without ATP, the body wouldn’t be able to perform essential functions such as digestion, blood circulation, and brain activity.
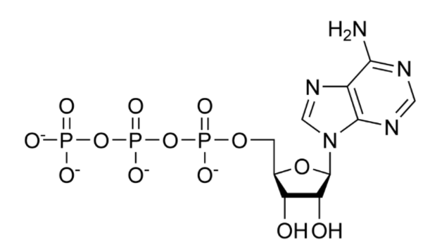
Structure of ATP
ATP is a nucleotide made up of three main components:
Adenine: A nitrogenous base.
Ribose: A five-carbon sugar.
Three Phosphate Groups: High-energy bonds store and release energy when needed.
The phosphate groups are connected by high-energy bonds. When ATP loses a phosphate group, it releases energy and forms ADP (Adenosine Diphosphate). This process, called ATP hydrolysis, is how cells use ATP to perform tasks.
How is ATP Produced?
ATP is produced in cells through three main processes:
Glycolysis (Anaerobic Respiration)
Occurs in the cytoplasm without oxygen.
Glucose is broken down into pyruvate, producing a small amount of ATP.
Cellular Respiration (Aerobic Respiration)
Takes place in the mitochondria using oxygen.
Glucose is fully broken down into carbon dioxide and water, generating a large amount of ATP.
Fermentation
This happens when oxygen is limited.
Produces less ATP compared to aerobic respiration but helps in quick energy bursts (e.g., in muscles during heavy exercise).
Each process contributes to keeping the body energised by converting food into ATP.
Role of ATP in the Human Body
ATP is involved in several critical biological processes, including:
1. Muscle Contraction
Muscles require ATP to contract and relax. ATP binds to muscle fibers, helping them move and generate force. Without ATP, muscle movement would stop.
2. Nerve Signaling (Neurotransmission)
ATP is used by nerve cells to send electrical signals across the body. It helps neurons communicate, ensuring smooth functions like reflexes and memory processing.
3. Active Transport
Cells use ATP to transport nutrients and waste across cell membranes. This is important for maintaining proper fluid balance and removing toxins.
4. Protein and DNA Synthesis
ATP provides the energy needed to build proteins and genetic material (DNA and RNA), which are essential for cell growth and repair.
5. Cell Division and Growth
Cells use ATP to divide and reproduce, ensuring the body can heal wounds and replace damaged cells.
ATP in Cellular Signaling
ATP is not just an energy carrier; it also plays a key role in cell signaling by acting as a messenger in different biochemical pathways.
Cell-to-Cell Communication: ATP is released from cells to signal neighboring cells.
Immune Response: ATP helps immune cells detect and respond to infections.
Blood Flow Regulation: ATP affects blood vessel dilation and improves oxygen supply to tissues.
ATP in Extracellular Paracrine Signaling
ATP can act as a paracrine signaling molecule, meaning it sends messages between nearby cells. It influences:
Inflammation control to reduce excessive immune responses.
Tissue repair by activating growth factors.
Neuron-glial interactions to maintain brain function.
ATP in Pain Control and Anesthesia
ATP plays a role in how the body perceives pain and responds to anaesthesia:
Pain Regulation: ATP activates pain-sensing neurons, helping the body react to injuries.
Anesthesia Mechanism: ATP channels are targeted by anaesthetic drugs to reduce pain sensation during surgery.
ATP Production in Different Metabolic States
1. ATP Production in Anaerobic Respiration
Happens in low-oxygen environments, such as during intense exercise.
Produces lactic acid as a byproduct.
2. ATP Production in Ketosis
Occurs when the body burns fat instead of glucose for energy (low-carb diets, fasting).
Uses ketone bodies as an alternative fuel.
3. ATP Production in Beta-Oxidation
Fatty acids are broken down in the mitochondria to generate ATP.
This process is important for long-term energy storage.
Diseases Related to ATP Deficiency
A lack of ATP can lead to several health problems, such as:
Chronic Fatigue Syndrome (CFS): Reduced ATP production leads to extreme tiredness.
Mitochondrial Disorders: Genetic conditions affecting ATP production.
Neurodegenerative Diseases: ATP deficiency is linked to Alzheimer’s and Parkinson’s disease.
Muscle Disorders: Low ATP levels cause muscle weakness and cramping.
Ways to Improve ATP Production Naturally
To keep ATP levels high, you can:
Eat a Balanced Diet: Consume carbohydrates, proteins, and healthy fats for optimal ATP synthesis.
Exercise Regularly: Physical activity stimulates mitochondrial function and ATP production.
Get Enough Sleep: Rest helps ATP replenishment for daily activities.
Stay Hydrated: Water is essential for efficient ATP production.
Conclusion
ATP is the powerhouse of life, fueling every essential biological function. From muscle movement to brain activity, ATP ensures the body operates efficiently. By understanding how ATP is produced, utilised, and impacts health, we can make better lifestyle choices to improve energy levels and overall well-being.
FAQs on ATP Full Form – Adenosine Triphosphate
1. What is ATP?
ATP stands for Adenosine Triphosphate, the main source of energy for cells in the body.
2. How is ATP produced?
ATP is produced through glycolysis, aerobic respiration, and fermentation, mainly in the mitochondria.
3. Why is ATP called the energy currency of the cell?
ATP stores and transports energy, allowing cells to perform essential functions like movement, repair, and growth.
4. How does ATP help muscles work?
ATP binds to muscle fibers, helping them contract and relax during movement.
5. What happens if ATP levels are low?
Low ATP can cause fatigue, muscle weakness, and cognitive issues due to reduced energy availability.
6. How does ATP support brain function?
ATP powers nerve cells, allowing communication between the brain and body through neurotransmission.
7. Can we get ATP from food?
Yes, foods rich in glucose, fats, and proteins are converted into ATP during metabolism.
8. Does ATP affect aging?
ATP decline with age can lead to slower metabolism and reduced cellular function, contributing to ageing.
9. What is the difference between ATP and ADP?
ATP has three phosphate groups, while ADP has two. Energy is released when ATP is converted into ADP.
10. How can I naturally boost ATP production?
Eating nutritious food, exercising, and staying hydrated can enhance ATP levels.





















