
The number 90 is to be written as a product of its prime factors .Which one of the following is correct
A.90=2*5*9
B.90=2*3*3*5
C.90=3*5*9
D.90=4*5*9
Answer
582k+ views
Hint: Here it is enough if we perform prime factorization of 90 which will provide us the required solution
Complete step-by-step answer:
Here we need to do prime factorization of 90
First let's divide 90 by 2 as 2 is the first prime number
$ \Rightarrow \dfrac{{90}}{2} = 45$
Now 2 is a prime factor of 90
Step 2 :
Now we have 45 .
It does not give an integer solution if we divide it by 2 again.
So now lets go to the next prime number 3
Let's divide 45 by 3
$ \Rightarrow \dfrac{{45}}{3} = 15$
Now 15 is still a multiple of 3 so let's divide 15 by 3 again
$ \Rightarrow \dfrac{{15}}{3} = 5$
Now 3 * 3 is a factor of 90.
Step 3 :
Now we are left with 5 which itself is a prime number .
From this we get that the right way to write 90 as a product of primes is 2 * 3 * 3 * 5
Therefore 90 = 2 * 3 * 3 * 5
The correct option is B
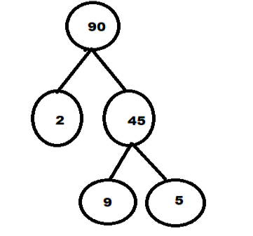
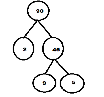
Note: We can solve this even in another method known as factor tree method ,which is much easier
Firstly we can write 90 as a multiple of two numbers like 2 * 45. Let's draw the branches below 90
Now since 2 is prime leave it undisturbed and now let's write 45 as a product of two numbers , say 9 * 5
Now let's leave the prime number five undisturbed and split the number 9 (i.e) 3 * 3
We can split it anymore. Now highlight the prime numbers which will give you the answer.
Complete step-by-step answer:
Here we need to do prime factorization of 90
First let's divide 90 by 2 as 2 is the first prime number
$ \Rightarrow \dfrac{{90}}{2} = 45$
Now 2 is a prime factor of 90
Step 2 :
Now we have 45 .
It does not give an integer solution if we divide it by 2 again.
So now lets go to the next prime number 3
Let's divide 45 by 3
$ \Rightarrow \dfrac{{45}}{3} = 15$
Now 15 is still a multiple of 3 so let's divide 15 by 3 again
$ \Rightarrow \dfrac{{15}}{3} = 5$
Now 3 * 3 is a factor of 90.
Step 3 :
Now we are left with 5 which itself is a prime number .
From this we get that the right way to write 90 as a product of primes is 2 * 3 * 3 * 5
Therefore 90 = 2 * 3 * 3 * 5
The correct option is B
Note: We can solve this even in another method known as factor tree method ,which is much easier
Firstly we can write 90 as a multiple of two numbers like 2 * 45. Let's draw the branches below 90
Now since 2 is prime leave it undisturbed and now let's write 45 as a product of two numbers , say 9 * 5
Now let's leave the prime number five undisturbed and split the number 9 (i.e) 3 * 3
We can split it anymore. Now highlight the prime numbers which will give you the answer.
Recently Updated Pages
Master Class 10 General Knowledge: Engaging Questions & Answers for Success

Master Class 10 Science: Engaging Questions & Answers for Success

Master Class 10 Social Science: Engaging Questions & Answers for Success

Master Class 10 Maths: Engaging Questions & Answers for Success

Master Class 10 English: Engaging Questions & Answers for Success

Master Class 10 Computer Science: Engaging Questions & Answers for Success

Trending doubts
What is BLO What is the full form of BLO class 8 social science CBSE

Citizens of India can vote at the age of A 18 years class 8 social science CBSE

Full form of STD, ISD and PCO

Right to vote is a AFundamental Right BFundamental class 8 social science CBSE

Summary of the poem Where the Mind is Without Fear class 8 english CBSE

What are gulf countries and why they are called Gulf class 8 social science CBSE


