
Which of the following compounds can be detected by Molisch’s test?
(A) Nitro compounds
(B) Sugars
(C) Amines
(D) Primary alcohols
Answer
566.4k+ views
Hint: The presence of carbohydrates is determined by the Molisch’s test. Only one option is correct among the given options. So, consider the sugar as a priority as it is a carbohydrate.
Complete step by step solution:
Let us know about the Molisch’s test and how it is carried out before perfectly determining the compounds which can be detected by the same.
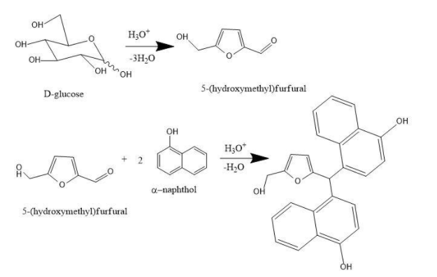
Molisch’s test- It is a very sensitive test chemically carried out for the presence of carbohydrates in the compound. It is based on the dehydration of the carbohydrates by the presence of hydrochloric acids or sulphuric acids in the reacting media. Carbohydrates reacting with acids result in the formation of aldehydes. This then gets condensed with two phenol molecules to give a resulting violet ring. Here, phenols can be alpha naphthol or resorcinol or thymol.
Procedure-
-The solution to be tested is added to the test tube with Molisch’s reagent i.e. phenol, and the mixture is mixed well for some time.
-Then, a small amount of acid is added carefully to the test tube to avoid mixing and thus support the formation of a separate layer of acid.
-There results in the formation of a red-violet ring if the test is positive, between the layers of acid and the mixture (Molisch’s reagent and test solution).
All carbohydrates give the positive test for the same. Thus, the sugar solution will give the positive test for the Molisch’s solution.
Reaction-
Therefore, option (B) is correct.
Note: Along with carbohydrates, nucleic acids and glycol-proteins also give Molisch’s test. But we do not have any option as such.
Complete step by step solution:
Let us know about the Molisch’s test and how it is carried out before perfectly determining the compounds which can be detected by the same.
Molisch’s test- It is a very sensitive test chemically carried out for the presence of carbohydrates in the compound. It is based on the dehydration of the carbohydrates by the presence of hydrochloric acids or sulphuric acids in the reacting media. Carbohydrates reacting with acids result in the formation of aldehydes. This then gets condensed with two phenol molecules to give a resulting violet ring. Here, phenols can be alpha naphthol or resorcinol or thymol.
Procedure-
-The solution to be tested is added to the test tube with Molisch’s reagent i.e. phenol, and the mixture is mixed well for some time.
-Then, a small amount of acid is added carefully to the test tube to avoid mixing and thus support the formation of a separate layer of acid.
-There results in the formation of a red-violet ring if the test is positive, between the layers of acid and the mixture (Molisch’s reagent and test solution).
All carbohydrates give the positive test for the same. Thus, the sugar solution will give the positive test for the Molisch’s solution.
Reaction-
Therefore, option (B) is correct.
Note: Along with carbohydrates, nucleic acids and glycol-proteins also give Molisch’s test. But we do not have any option as such.
Recently Updated Pages
A man running at a speed 5 ms is viewed in the side class 12 physics CBSE

State and explain Hardy Weinbergs Principle class 12 biology CBSE

Which of the following statements is wrong a Amnion class 12 biology CBSE

Two Planoconcave lenses 1 and 2 of glass of refractive class 12 physics CBSE

The compound 2 methyl 2 butene on reaction with NaIO4 class 12 chemistry CBSE

Bacterial cell wall is made up of A Cellulose B Hemicellulose class 12 biology CBSE

Trending doubts
What are the major means of transport Explain each class 12 social science CBSE

Which are the Top 10 Largest Countries of the World?

Draw a labelled sketch of the human eye class 12 physics CBSE

Explain sex determination in humans with line diag class 12 biology CBSE

The pH of the pancreatic juice is A 64 B 86 C 120 D class 12 biology CBSE

Give 10 examples of unisexual and bisexual flowers

