
The numerical ratio of displacement to distance for a moving object is
A. Always less than 1
B. Always equal to 1
C. Always more than 1
D. Equal or less than 1
Answer
506.4k+ views
Hint: In order to deal with this question we will use the concept as displacement is a vector and distance is a scalar but for finding the ratio we consider only the magnitudes of both. And check their ratio by some examples.
Complete Step-by-Step solution:
Displacement is the shortest distance between point of departure and point of end while distance is road length.
Find a car heading straight with no twists. Its displacement and distance covered are the same when the car comes to rest.
When the car takes a turn and returns to the same starting point, its displacement is zero, while the distance covered is the total length of the path.
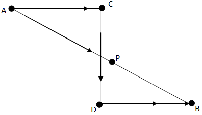
Also see the given figure to understand distance and displacement.
In the given figure movement from the point A to point B through the path ACDB is the distance between the points A and B.
But the movement from the point A to B through the path APB is the displacement.
As we know that the displacement is the shortest distance between two points.
Thus distance may be equal to, or greater than, displacement.
Hence, the ratio of displacement to distance is always equal to or less than 1.
So, the correct answer is option D.
Note- Distance is a numerical measurement of how far apart objects or points are. Distance can refer to a specific length or calculation based on certain factors in physics or everyday use. Displacement is a vector the length of which is the shortest distance from the original to the final direction of a point P in motion. Displacement is a vector i.e. it may be positive or negative. Distance is scalar, it is never negative.
Complete Step-by-Step solution:
Displacement is the shortest distance between point of departure and point of end while distance is road length.
Find a car heading straight with no twists. Its displacement and distance covered are the same when the car comes to rest.
When the car takes a turn and returns to the same starting point, its displacement is zero, while the distance covered is the total length of the path.
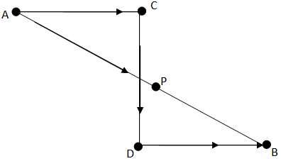
Also see the given figure to understand distance and displacement.
In the given figure movement from the point A to point B through the path ACDB is the distance between the points A and B.
But the movement from the point A to B through the path APB is the displacement.
As we know that the displacement is the shortest distance between two points.
Thus distance may be equal to, or greater than, displacement.
Hence, the ratio of displacement to distance is always equal to or less than 1.
So, the correct answer is option D.
Note- Distance is a numerical measurement of how far apart objects or points are. Distance can refer to a specific length or calculation based on certain factors in physics or everyday use. Displacement is a vector the length of which is the shortest distance from the original to the final direction of a point P in motion. Displacement is a vector i.e. it may be positive or negative. Distance is scalar, it is never negative.
Recently Updated Pages
Two men on either side of the cliff 90m height observe class 10 maths CBSE

What happens to glucose which enters nephron along class 10 biology CBSE

Cutting of the Chinese melon means A The business and class 10 social science CBSE

Write a dialogue with at least ten utterances between class 10 english CBSE

Show an aquatic food chain using the following organisms class 10 biology CBSE

A circle is inscribed in an equilateral triangle and class 10 maths CBSE

Trending doubts
Why is there a time difference of about 5 hours between class 10 social science CBSE

Write a letter to the principal requesting him to grant class 10 english CBSE

What is the median of the first 10 natural numbers class 10 maths CBSE

The Equation xxx + 2 is Satisfied when x is Equal to Class 10 Maths

Which of the following does not have a fundamental class 10 physics CBSE

State and prove converse of BPT Basic Proportionality class 10 maths CBSE

