
Maltose is made of:
A) \[\alpha {\text{ - D - glucose}}\]
B) \[\alpha ,{\text{beta - D - glucose}}\]
C) Glucose and fructose
D) Fructose only
Answer
561.3k+ views
Hint: Maltose is also known as malt sugar. It is a disaccharide, made up of two D- glucose units. The two units of glucose are linked with an alpha 1,4 glycosidic bond.
Complete answer:
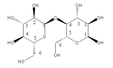
Maltose is a disaccharide made up of two alpha D- glucose in which C1 of the first glucose unit is bonded to C4 of the second glucose unit. The bond that joined two alpha glucose units is called 1, 4 glycosidic linkages.
The structure of maltose is as follows:
As maltose is made up of two alpha sugars so \[\alpha ,{\text{beta - D - glucose}}\]is an incorrect answer. Thus, option (B) \[\alpha ,{\text{beta - D - glucose}}\] is incorrect.
Maltose is made of two molecules of glucose while sucrose is made up of one molecule of glucose and one molecule of fructose. Thus, option (C) Glucose and fructose is an incorrect answer.
As monosaccharide of maltose is glucose, not fructose so option (D) Fructose only is incorrect.
Additional Information: Maltose is not used as a sweetener as it is less sweet. It is used to produce alcohol.
Thus, the correct answer is option (A) \[\alpha {\text{ - D - glucose}}\].
Note: The D- glucose exists in two forms alpha D -glucose and beta D- glucose. The difference between the two forms is the direction that H group and OH group point of C1. Depending on the type of monosaccharide there are different types of disaccharides. Maltose is reducing sugar. Monosaccharide of maltose is alpha D- glucose. Maltose is formed by alpha 1, 4 glycosidic linkage of two alpha D -glucose units.
Complete answer:
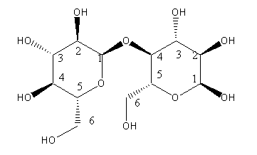
Maltose is a disaccharide made up of two alpha D- glucose in which C1 of the first glucose unit is bonded to C4 of the second glucose unit. The bond that joined two alpha glucose units is called 1, 4 glycosidic linkages.
The structure of maltose is as follows:
As maltose is made up of two alpha sugars so \[\alpha ,{\text{beta - D - glucose}}\]is an incorrect answer. Thus, option (B) \[\alpha ,{\text{beta - D - glucose}}\] is incorrect.
Maltose is made of two molecules of glucose while sucrose is made up of one molecule of glucose and one molecule of fructose. Thus, option (C) Glucose and fructose is an incorrect answer.
As monosaccharide of maltose is glucose, not fructose so option (D) Fructose only is incorrect.
Additional Information: Maltose is not used as a sweetener as it is less sweet. It is used to produce alcohol.
Thus, the correct answer is option (A) \[\alpha {\text{ - D - glucose}}\].
Note: The D- glucose exists in two forms alpha D -glucose and beta D- glucose. The difference between the two forms is the direction that H group and OH group point of C1. Depending on the type of monosaccharide there are different types of disaccharides. Maltose is reducing sugar. Monosaccharide of maltose is alpha D- glucose. Maltose is formed by alpha 1, 4 glycosidic linkage of two alpha D -glucose units.
Recently Updated Pages
The number of solutions in x in 02pi for which sqrt class 12 maths CBSE

Write any two methods of preparation of phenol Give class 12 chemistry CBSE

Differentiate between action potential and resting class 12 biology CBSE

Two plane mirrors arranged at right angles to each class 12 physics CBSE

Which of the following molecules is are chiral A I class 12 chemistry CBSE

Name different types of neurons and give one function class 12 biology CBSE

Trending doubts
Which are the Top 10 Largest Countries of the World?

What are the major means of transport Explain each class 12 social science CBSE

Draw a labelled sketch of the human eye class 12 physics CBSE

Differentiate between insitu conservation and exsitu class 12 biology CBSE

State the principle of an ac generator and explain class 12 physics CBSE

Differentiate between homogeneous and heterogeneous class 12 chemistry CBSE

