
Calculate the total number of optical isomers of the following compounds respectively:
Tartaric acid, lactic acid, fumaric acid, cinnamic acid.
(A) 3,2,0,2
(B) 3,2,0,1
(C) 2,2,0,0
(D) 3,2,0,0
Answer
575.7k+ views
Hint: Optical isomers have the same chemical formula and vary in their orientation. The pair of isomers bend a beam of plane polarised light in different directions(left or right) and that is how we identify a pair of optical isomers. Draw the structure of compounds given and find the number of chiral carbon atoms and the optical activity to calculate the number of optical isomers.
Complete step-by-step answer:
The word “isomer” is derived from the Greek words "isos" and "mers". "Isos" means equal and "mers" means parts, so "isomers" means equal parts.
Isomerism is the phenomenon in which two or more compounds have the same chemical formula but differ in chemical structures. Chemical compounds that have identical chemical formula but differ in properties and the arrangement of atoms in the molecule are called isomers i.e. they exhibit isomerism.
Isomerism is of two types namely, Structural isomerism and stereoisomerism.
In stereoisomerism, the compounds have the same chemical formula but differ in their respective orientations of the atoms belonging to the compound in a 3D space.
The types of stereoisomerism are:
- Geometrical
- Optical
Optical isomers are two compounds having same molecular formula but differ in their spatial arrangements of atoms, which have non-superimposable mirror images.
We will now draw the structure of the above-mentioned compounds and identify the number of optical isomers.
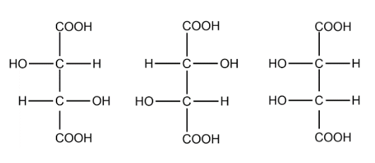
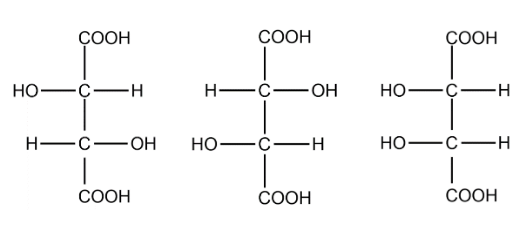
Tartaric acid:
In the structure of tartaric we can identify 2 chiral carbons. The optical isomers are :
The total number of optical isomers for tartaric acid are 3.
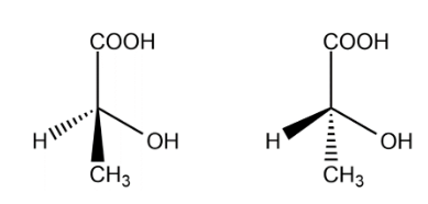
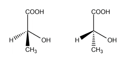
Lactic acid:
Lactic acid one chiral carbon, the optical isomers are :
The total number of isomers for lactic acid is 2.
Fumaric acid:
In the above structure of fumaric acid we observe that there is no chiral carbon present. So, the number of optical isomers is 0.
Cinnamic acid:
In the above structure of cinnamic acid we observe that there is no chiral carbon present. So, the number of optical isomers is 0.
Therefore, the correct answer is option (D).
Note: In general, we get a pair of optical isomers that deflects the incoming beam of plane polarized light. However, in the case of tartaric acid, we obtained only 3 isomers. This is because the third structure of tartaric acid is a meso compound. The mirror image of the meso compound superimposes on the original image. This compound is optically active about the chiral carbon atoms but the molecule as a whole does not show optical activity.
Complete step-by-step answer:
The word “isomer” is derived from the Greek words "isos" and "mers". "Isos" means equal and "mers" means parts, so "isomers" means equal parts.
Isomerism is the phenomenon in which two or more compounds have the same chemical formula but differ in chemical structures. Chemical compounds that have identical chemical formula but differ in properties and the arrangement of atoms in the molecule are called isomers i.e. they exhibit isomerism.
Isomerism is of two types namely, Structural isomerism and stereoisomerism.
In stereoisomerism, the compounds have the same chemical formula but differ in their respective orientations of the atoms belonging to the compound in a 3D space.
The types of stereoisomerism are:
- Geometrical
- Optical
Optical isomers are two compounds having same molecular formula but differ in their spatial arrangements of atoms, which have non-superimposable mirror images.
We will now draw the structure of the above-mentioned compounds and identify the number of optical isomers.
Tartaric acid:
In the structure of tartaric we can identify 2 chiral carbons. The optical isomers are :
The total number of optical isomers for tartaric acid are 3.
Lactic acid:
Lactic acid one chiral carbon, the optical isomers are :
The total number of isomers for lactic acid is 2.
Fumaric acid:
In the above structure of fumaric acid we observe that there is no chiral carbon present. So, the number of optical isomers is 0.
Cinnamic acid:
In the above structure of cinnamic acid we observe that there is no chiral carbon present. So, the number of optical isomers is 0.
Therefore, the correct answer is option (D).
Note: In general, we get a pair of optical isomers that deflects the incoming beam of plane polarized light. However, in the case of tartaric acid, we obtained only 3 isomers. This is because the third structure of tartaric acid is a meso compound. The mirror image of the meso compound superimposes on the original image. This compound is optically active about the chiral carbon atoms but the molecule as a whole does not show optical activity.
Recently Updated Pages
Why are manures considered better than fertilizers class 11 biology CBSE

Find the coordinates of the midpoint of the line segment class 11 maths CBSE

Distinguish between static friction limiting friction class 11 physics CBSE

The Chairman of the constituent Assembly was A Jawaharlal class 11 social science CBSE

The first National Commission on Labour NCL submitted class 11 social science CBSE

Number of all subshell of n + l 7 is A 4 B 5 C 6 D class 11 chemistry CBSE

Trending doubts
What is meant by exothermic and endothermic reactions class 11 chemistry CBSE

10 examples of friction in our daily life

One Metric ton is equal to kg A 10000 B 1000 C 100 class 11 physics CBSE

1 Quintal is equal to a 110 kg b 10 kg c 100kg d 1000 class 11 physics CBSE

Difference Between Prokaryotic Cells and Eukaryotic Cells

What are Quantum numbers Explain the quantum number class 11 chemistry CBSE

