
How do write \[54\] as a product of prime factors?
Answer
538.8k+ views
Hint: We need to know the first ten prime numbers in the natural numbers. This question describes the operation of multiplication/ division. The final answer should involve only prime numbers. The definition of prime numbers is a number that is divided only by \[1\] and itself, otherwise, it cannot be divided by any numbers.
Complete step by step solution:
In this question, we have to write \[54\] as a product of prime number factors.First, we should know about prime numbers. The prime numbers are only divided by \[1\] and itself.Otherwise, it cannot be divided by any numbers. So, the prime numbers are,
\[2,3,5,7,11,13,....\]
To solve the given question we would divide the \[54\] as follows,
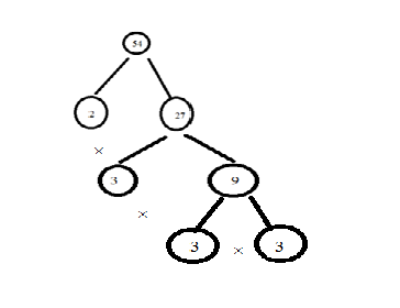
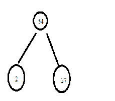
From the given prime numbers we can use \[2\]. So, when \[2\] is multiplied with \[27\] it will be\[54\]. As a next step, we didn’t simplify \[2\]. So, we try to simplify \[27\]. \[27\] can be divided into \[3\] and \[9\]. So, we get
From the above step we cannot simplify \[3\], but we can simplify \[9\]. So, \[9\] can be simplified as \[3 \times 3\]. Here \[3\] is a prime number so we can go to the next step.
So, the final answer is, the product of prime factor for \[54\] is shown below,
\[54 = 2 \times 3 \times 3 \times 3\]
(or)
\[54 = 2 \times {3^3}\]
Note: In this type of question we would use the operation of addition/ subtraction/ multiplication/ division. We need to know the first ten prime numbers. Note that \[1\] is not a prime number and \[1\] is not a non-prime number, it is an exception. All the factors should be a prime number, we don’t use a non-prime number as a factor. Also, we don’t use this \[0\] as a factor in this type of question.
Complete step by step solution:
In this question, we have to write \[54\] as a product of prime number factors.First, we should know about prime numbers. The prime numbers are only divided by \[1\] and itself.Otherwise, it cannot be divided by any numbers. So, the prime numbers are,
\[2,3,5,7,11,13,....\]
To solve the given question we would divide the \[54\] as follows,
From the given prime numbers we can use \[2\]. So, when \[2\] is multiplied with \[27\] it will be\[54\]. As a next step, we didn’t simplify \[2\]. So, we try to simplify \[27\]. \[27\] can be divided into \[3\] and \[9\]. So, we get
From the above step we cannot simplify \[3\], but we can simplify \[9\]. So, \[9\] can be simplified as \[3 \times 3\]. Here \[3\] is a prime number so we can go to the next step.
So, the final answer is, the product of prime factor for \[54\] is shown below,
\[54 = 2 \times 3 \times 3 \times 3\]
(or)
\[54 = 2 \times {3^3}\]
Note: In this type of question we would use the operation of addition/ subtraction/ multiplication/ division. We need to know the first ten prime numbers. Note that \[1\] is not a prime number and \[1\] is not a non-prime number, it is an exception. All the factors should be a prime number, we don’t use a non-prime number as a factor. Also, we don’t use this \[0\] as a factor in this type of question.
Recently Updated Pages
Why are manures considered better than fertilizers class 11 biology CBSE

Find the coordinates of the midpoint of the line segment class 11 maths CBSE

Distinguish between static friction limiting friction class 11 physics CBSE

The Chairman of the constituent Assembly was A Jawaharlal class 11 social science CBSE

The first National Commission on Labour NCL submitted class 11 social science CBSE

Number of all subshell of n + l 7 is A 4 B 5 C 6 D class 11 chemistry CBSE

Trending doubts
What is meant by exothermic and endothermic reactions class 11 chemistry CBSE

10 examples of friction in our daily life

One Metric ton is equal to kg A 10000 B 1000 C 100 class 11 physics CBSE

1 Quintal is equal to a 110 kg b 10 kg c 100kg d 1000 class 11 physics CBSE

Difference Between Prokaryotic Cells and Eukaryotic Cells

What are Quantum numbers Explain the quantum number class 11 chemistry CBSE

